Bihar Board Class 12th 2020 NCC Syllabus

Here we have provided Syllabus for NCC of 2020 for Class 12th students of Bihar Board of Secondary Education. There are various subjects in this year such as Accountancy, Bio – Technology, Biology, Business Studies, Chemistry, Computer Science for new XI, Computer Science for new XII, Computer Science for old 12, Political Science, Mathematics, Physics, Economics, Engineering Graphics, History, Sociology, English Core, English Elective, Hindi Aadhar, Hindi Aichchik, Geography, Physical Education, Home Science, NCC, Psychology, Entrepreneurship, Fine Arts, Informatics Practices new XI, Informatics Practices new XII, Informatics Practices old and Legal Studies. Summary of the same is given below:

Board NameBihar Board of Secondary Education
ClassClass 12th
Content TypeSyllabus
Syllabus forClass 12th students
Year2020
Subject NameNCC
Total Number of Subject in this Year30

Studying Bihar Board Class 12th 2020 NCC syllabus will help you higher marks in this subject but you need to follow best practices to achieve higher marks, which are given after the content, go through them once.

Bihar Board Class 12th 2020 NCC Syllabus

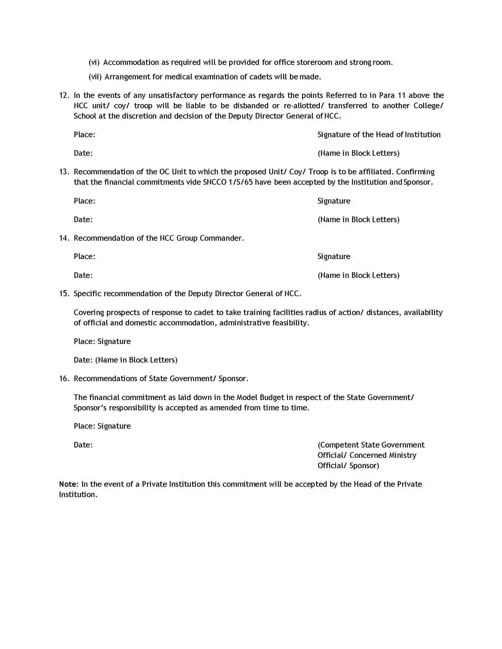
View the following syllabus for Bihar Board Class 12th 2020 NCC. This syllabus is available for viewing online.

Bihar Board Class 12th 2020 NCC Syllabus 1
https://biharboardbook.com
Bihar Board Class 12th 2020 NCC Syllabus 2
https://biharboardbook.com
Bihar Board Class 12th 2020 NCC Syllabus 3
https://biharboardbook.com
Bihar Board Class 12th 2020 NCC Syllabus 4
https://biharboardbook.com
Bihar Board Class 12th 2020 NCC Syllabus 5
https://biharboardbook.com
Bihar Board Class 12th 2020 NCC Syllabus 6
https://biharboardbook.com
Bihar Board Class 12th 2020 NCC Syllabus 7
https://biharboardbook.com
Bihar Board Class 12th 2020 NCC Syllabus 8
https://biharboardbook.com
Bihar Board Class 12th 2020 NCC Syllabus 9
https://biharboardbook.com
Bihar Board Class 12th 2020 NCC Syllabus 10
https://biharboardbook.com
Bihar Board Class 12th 2020 NCC Syllabus 11
https://biharboardbook.com
Bihar Board Class 12th 2020 NCC Syllabus 12
https://biharboardbook.com
Bihar Board Class 12th 2020 NCC Syllabus 13
https://biharboardbook.com
Bihar Board Class 12th 2020 NCC Syllabus 14
https://biharboardbook.com
Bihar Board Class 12th 2020 NCC Syllabus 15
https://biharboardbook.com
Bihar Board Class 12th 2020 NCC Syllabus 16
https://biharboardbook.com
Bihar Board Class 12th 2020 NCC Syllabus 17
https://biharboardbook.com
Bihar Board Class 12th 2020 NCC Syllabus 18
https://biharboardbook.com
Bihar Board Class 12th 2020 NCC Syllabus 19
https://biharboardbook.com
Bihar Board Class 12th 2020 NCC Syllabus 20
https://biharboardbook.com
Bihar Board Class 12th 2020 NCC Syllabus 21
https://biharboardbook.com
Bihar Board Class 12th 2020 NCC Syllabus 22
https://biharboardbook.com
Bihar Board Class 12th 2020 NCC Syllabus 23
https://biharboardbook.com
Bihar Board Class 12th 2020 NCC Syllabus 24
https://biharboardbook.com
Bihar Board Class 12th 2020 NCC Syllabus 25
https://biharboardbook.com
Bihar Board Class 12th 2020 NCC Syllabus 26
https://biharboardbook.com
Bihar Board Class 12th 2020 NCC Syllabus 27
https://biharboardbook.com
Bihar Board Class 12th 2020 NCC Syllabus 28
https://biharboardbook.com
Bihar Board Class 12th 2020 NCC Syllabus 29
https://biharboardbook.com
Bihar Board Class 12th 2020 NCC Syllabus 30
https://biharboardbook.com
Bihar Board Class 12th 2020 NCC Syllabus 31
https://biharboardbook.com
Bihar Board Class 12th 2020 NCC Syllabus 32
https://biharboardbook.com
Bihar Board Class 12th 2020 NCC Syllabus 33
https://biharboardbook.com
Bihar Board Class 12th 2020 NCC Syllabus 34
https://biharboardbook.com
Bihar Board Class 12th 2020 NCC Syllabus 35
https://biharboardbook.com
Bihar Board Class 12th 2020 NCC Syllabus 36
https://biharboardbook.com

All Bihar Board Class 12th 2020 NCC Syllabus on this page can be viewed free of cost. Follow the best practices given after the content to achieve higher marks.

How to achieve higher marks in Bihar Board Class 12th 2020:

How to download Bihar Board Class 12th 2020 NCC Syllabus

  1. Visit https://biharboardbook.com
  2. Home page of Bihar Board Book will be loaded. Here select Syllabus from the navigation bar at top.
  3. List of classes will be loaded. Now select the class which is relevant for you – in this case we will select Class 12th from this list.
  4. List of years will display here. Now select the year – here we will select 2020 (you can choose any year which is relevant for you).
  5. List of subjects will start displaying here for 2020 for Class 12th students of Bihar Board. Now select the subject. We will select NCC in this case; you can opt based on your requirements.
  6. Syllabus for Class 12th 2020 of Bihar Board for NCC will load here. If you are on desktop, right-click and save the image. If you are on mobile, long-press the image to save it. This will download the content.

Other Subjects of 2020

Browse other subjects of Bihar Board Class 12th 2020 Syllabus. Click on any subject below to view its content.