Bihar Board Class 11th 2025-26 Maths Syllabus
Here we have provided Syllabus for Maths of 2025-26 for Class 11th students of Bihar Board of Secondary Education. There are various subjects in this year such as English Language, Hindi, Maths, Physics, Chemistry, Biology, Accountancy, Economics, History, Geography, Sociology, Business Studies, Computer Science, Home Science, Philosophy, Psychology, Political Science, Multimedia & Web Technology, Entrepreneurship, Sanskrit, Urdu, Arabic, Persian and Bengali. Summary of the same is given below:
| Board Name | Bihar Board of Secondary Education |
| Class | Class 11th |
| Content Type | Syllabus |
| Syllabus for | Class 11th students |
| Year | 2025-26 |
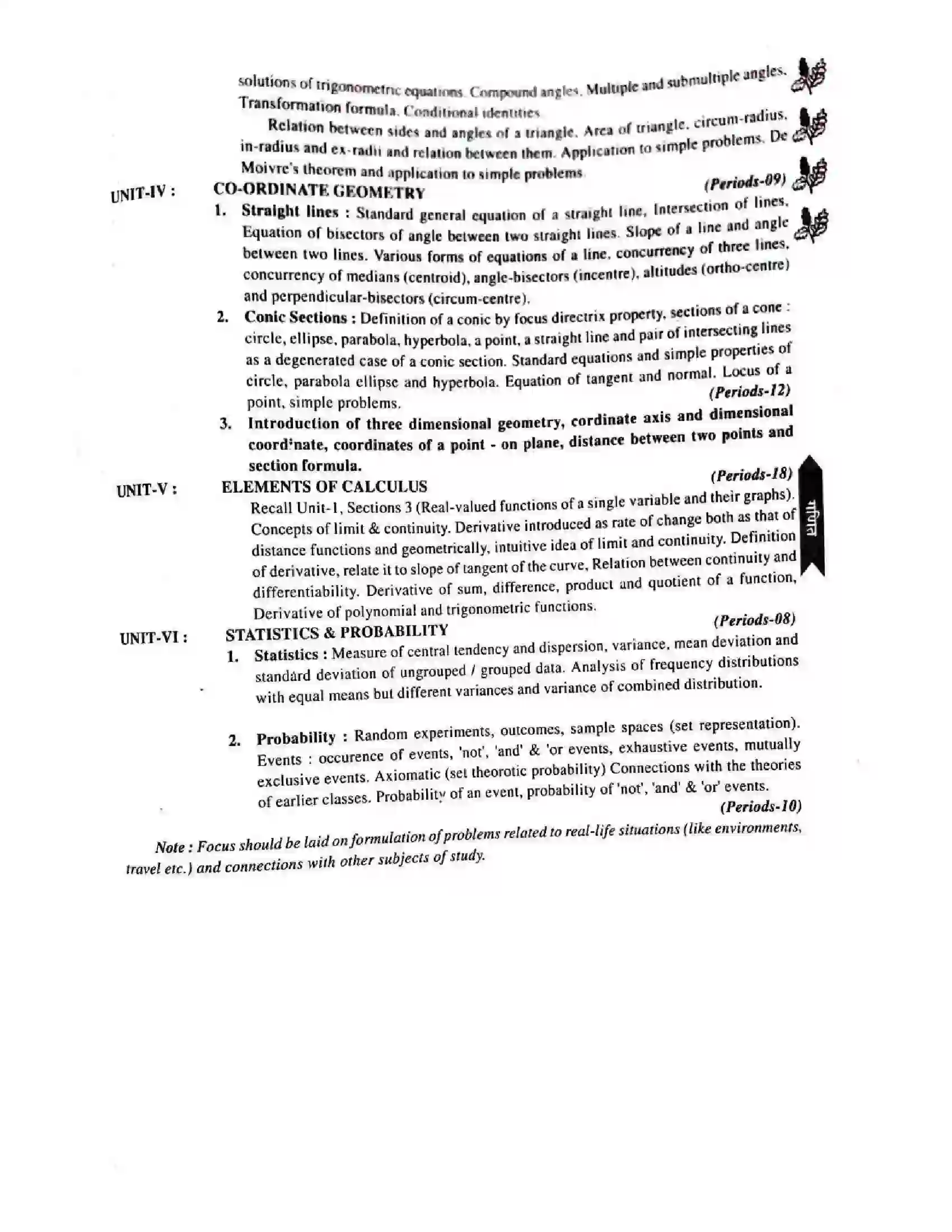
| Subject Name | Maths |
| Total Number of Subject in this Year | 24 |
Studying Bihar Board Class 11th 2025-26 Maths syllabus will help you higher marks in this subject but you need to follow best practices to achieve higher marks, which are given after the content, go through them once.
Bihar Board Class 11th 2025-26 Maths Syllabus
View the following syllabus for Bihar Board Class 11th 2025-26 Maths. This syllabus is available for viewing online.
All Bihar Board Class 11th 2025-26 Maths Syllabus on this page can be viewed free of cost. Follow the best practices given after the content to achieve higher marks.
How to achieve higher marks in Bihar Board Class 11th 2025-26:
- Understand the syllabus – know what to study.
- Download Bihar Board Class 11th 2025-26 solutions – use the solutions after trying the exercises yourself.
- Practice Previous Year Question Papers – get used to exam pattern and important topics.
- Practice Sample Papers – improve time management and accuracy.
- Use Revision Notes – quick help before exams to recall key points.
How to download Bihar Board Class 11th 2025-26 Maths Syllabus
- Visit https://biharboardbook.com
- Home page of Bihar Board Book will be loaded. Here select Syllabus from the navigation bar at top.
- List of classes will be loaded. Now select the class which is relevant for you – in this case we will select Class 11th from this list.
- List of years will display here. Now select the year – here we will select 2025-26 (you can choose any year which is relevant for you).
- List of subjects will start displaying here for 2025-26 for Class 11th students of Bihar Board. Now select the subject. We will select Maths in this case; you can opt based on your requirements.
- Syllabus for Class 11th 2025-26 of Bihar Board for Maths will load here. If you are on desktop, right-click and save the image. If you are on mobile, long-press the image to save it. This will download the content.
Other Subjects of 2025-26
Browse other subjects of Bihar Board Class 11th 2025-26 Syllabus. Click on any subject below to view its content.
English Language
Hindi
Physics
Chemistry
Biology
Accountancy
Economics
History
Geography
Sociology
Business Studies
Computer Science
Home Science
Philosophy
Psychology
Political Science
Multimedia & Web Technology
Entrepreneurship
Sanskrit
Urdu
Arabic
Persian
Bengali
Continue Your Bihar Board Class 11th Exam Preparation
Continue your exam preparation by exploring other resources. Combine this syllabus with our other resources like Bihar Board Books, Solutions, and Previous Year Papers for a complete and effective preparation strategy.
If you have any questions or need assistance, feel free to contact us. We're here to help you succeed in your Bihar Board examinations.