Bihar Board Class 12th Maths (गणित) Chapter 7 (समाकलन) Solutions

Here we have provided Solution for Chapter 7 (समाकलन) of Maths (गणित) subject for Class 12th students of Bihar Board of Secondary Education. There are various chapters in this Maths (गणित) such as Chapter 1 (सम्बन्ध एवं फलन), Chapter 2 (प्रतिलोम त्रिकोणमितिय फलन), Chapter 3 (आव्यूह), Chapter 4 (सारणिक), Chapter 5 (सांतत्य तथा अवकलनीयता), Chapter 6 (अवकलज के अनुप्रयोग), Chapter 7 (समाकलन), Chapter 8 (समाकलनों के अनुप्रयोग), Chapter 9 (अवकल समीकरण), Chapter 10 (सदिश बीजगणित), Chapter 11 (त्रि(विमीय ज्यामिति), Chapter 12 (रैखिक प्रोग्रामन) and Chapter 13 (प्रायिकता). Summary of the same is given below:

Board NameBihar Board of Secondary Education
ClassClass 12th
Content TypeSolution
Solution forClass 12th students
SubjectMaths (गणित)
Chapter NameChapter 7 (समाकलन)
Total Number of Chapter in this Subject13

Studying Bihar Board Class 12th Maths (गणित) Chapter 7 (समाकलन) solution will help you higher marks in this subject but you need to follow best practices to achieve higher marks, which are given after solutions, go through them once.

Bihar Board Class 12th Maths (गणित) Chapter 7 (समाकलन) Solutions

View the following solutions for Bihar Board Class 12th Maths (गणित) Chapter 7 (समाकलन). These solutions are available for viewing online.

Bihar Board Class 12th Maths (गणित) Chapter 7 (समाकलन) Solution 1
https://biharboardbook.com
Bihar Board Class 12th Maths (गणित) Chapter 7 (समाकलन) Solution 2
https://biharboardbook.com
Bihar Board Class 12th Maths (गणित) Chapter 7 (समाकलन) Solution 3
https://biharboardbook.com
Bihar Board Class 12th Maths (गणित) Chapter 7 (समाकलन) Solution 4
https://biharboardbook.com
Bihar Board Class 12th Maths (गणित) Chapter 7 (समाकलन) Solution 5
https://biharboardbook.com
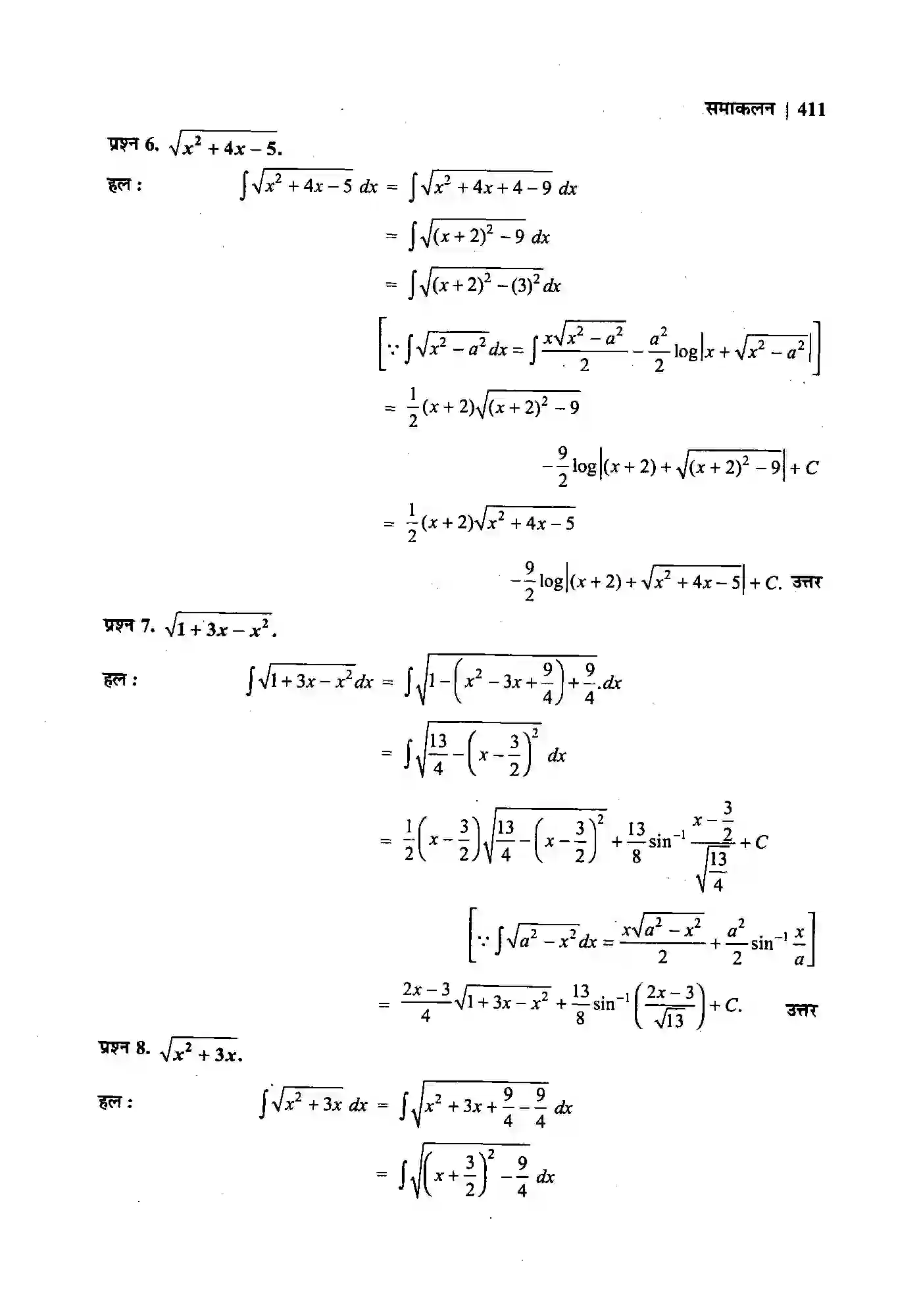
Bihar Board Class 12th Maths (गणित) Chapter 7 (समाकलन) Solution 6
https://biharboardbook.com
Bihar Board Class 12th Maths (गणित) Chapter 7 (समाकलन) Solution 7
https://biharboardbook.com
Bihar Board Class 12th Maths (गणित) Chapter 7 (समाकलन) Solution 8
https://biharboardbook.com
Bihar Board Class 12th Maths (गणित) Chapter 7 (समाकलन) Solution 9
https://biharboardbook.com
Bihar Board Class 12th Maths (गणित) Chapter 7 (समाकलन) Solution 10
https://biharboardbook.com
Bihar Board Class 12th Maths (गणित) Chapter 7 (समाकलन) Solution 11
https://biharboardbook.com
Bihar Board Class 12th Maths (गणित) Chapter 7 (समाकलन) Solution 12
https://biharboardbook.com
Bihar Board Class 12th Maths (गणित) Chapter 7 (समाकलन) Solution 13
https://biharboardbook.com
Bihar Board Class 12th Maths (गणित) Chapter 7 (समाकलन) Solution 14
https://biharboardbook.com
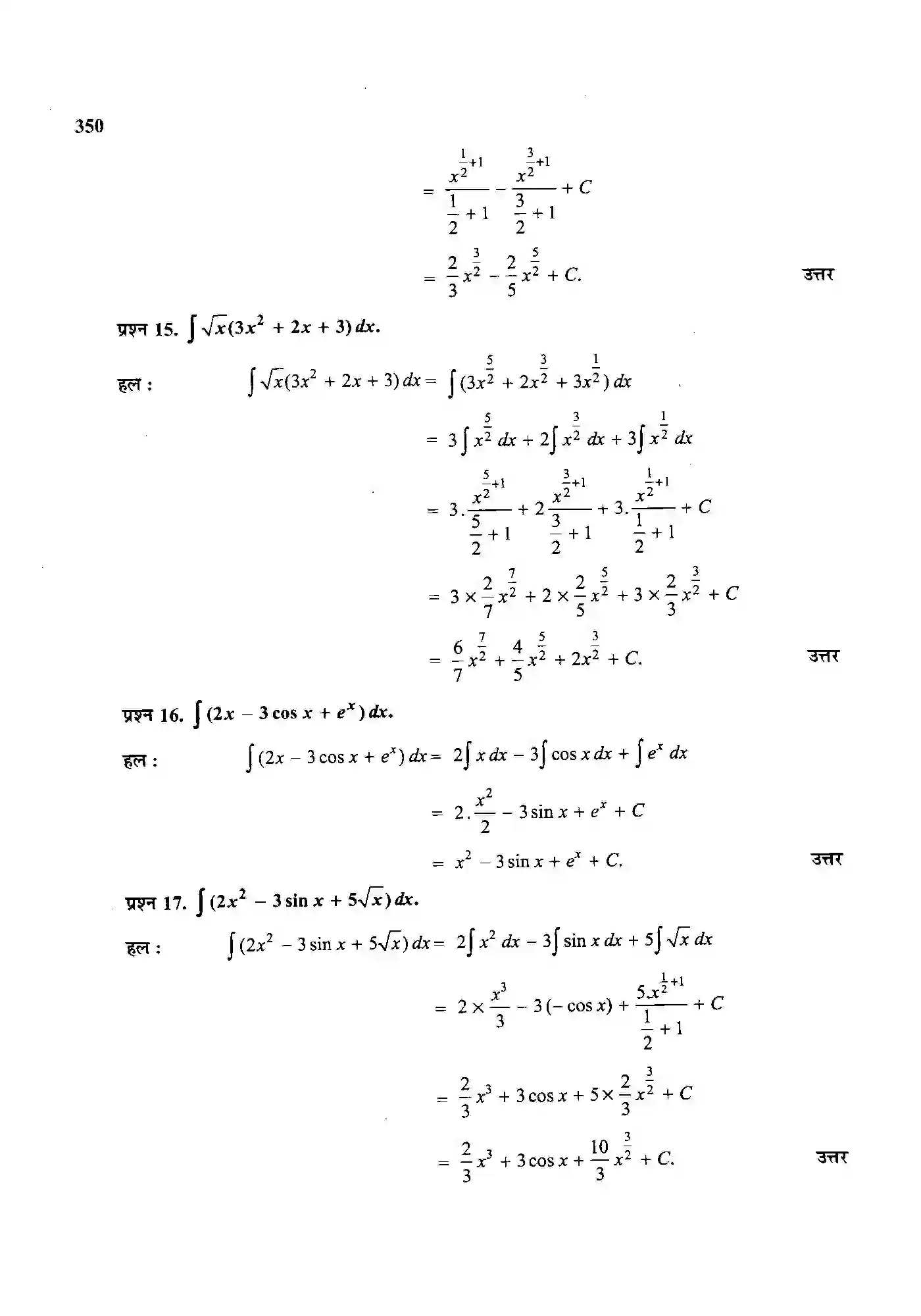
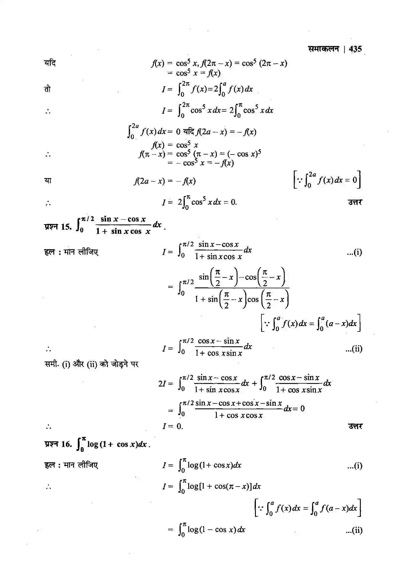
Bihar Board Class 12th Maths (गणित) Chapter 7 (समाकलन) Solution 15
https://biharboardbook.com
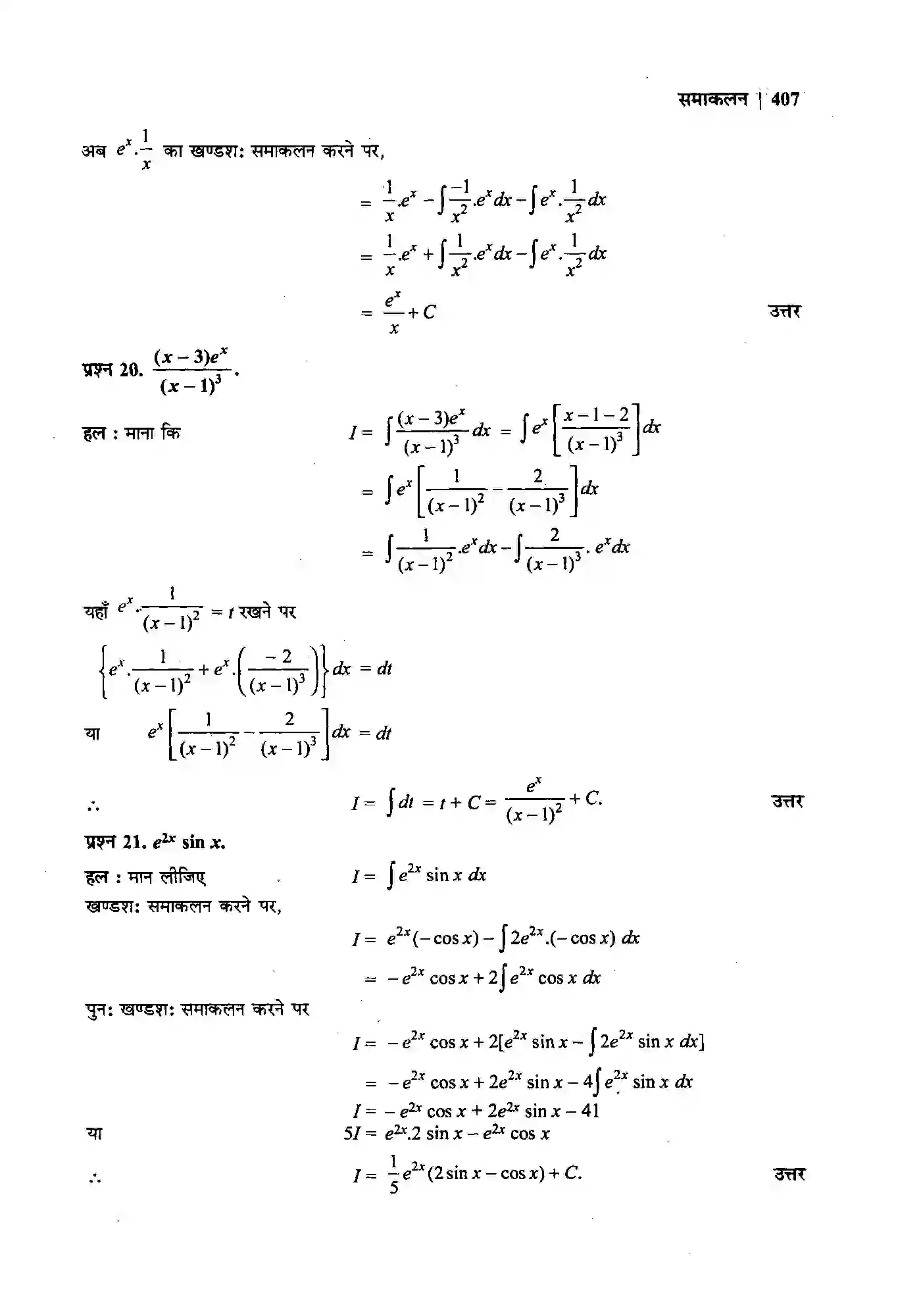
Bihar Board Class 12th Maths (गणित) Chapter 7 (समाकलन) Solution 16
https://biharboardbook.com
Bihar Board Class 12th Maths (गणित) Chapter 7 (समाकलन) Solution 17
https://biharboardbook.com
Bihar Board Class 12th Maths (गणित) Chapter 7 (समाकलन) Solution 18
https://biharboardbook.com
Bihar Board Class 12th Maths (गणित) Chapter 7 (समाकलन) Solution 19
https://biharboardbook.com
Bihar Board Class 12th Maths (गणित) Chapter 7 (समाकलन) Solution 20
https://biharboardbook.com
Bihar Board Class 12th Maths (गणित) Chapter 7 (समाकलन) Solution 21
https://biharboardbook.com
Bihar Board Class 12th Maths (गणित) Chapter 7 (समाकलन) Solution 22
https://biharboardbook.com
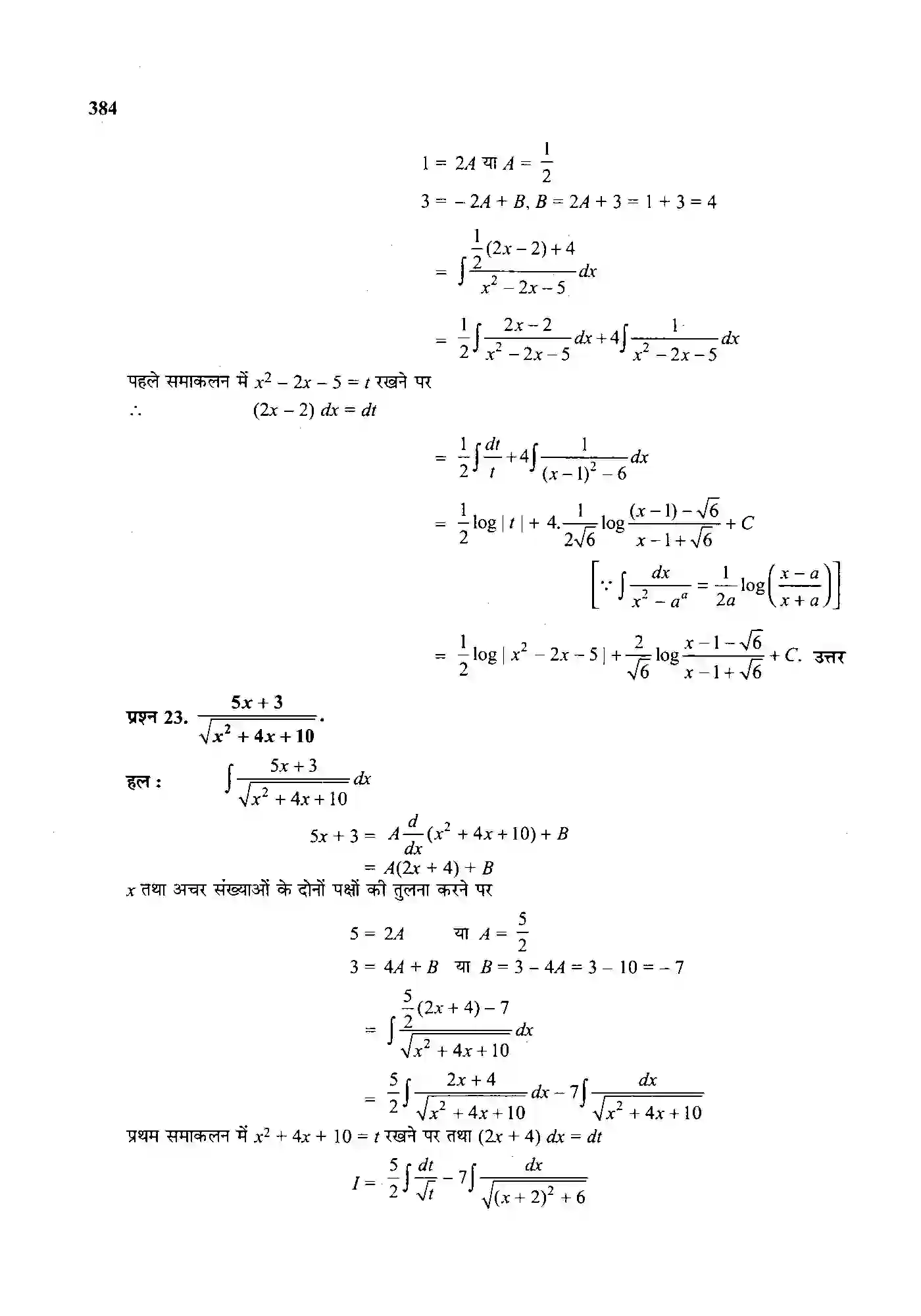
Bihar Board Class 12th Maths (गणित) Chapter 7 (समाकलन) Solution 23
https://biharboardbook.com
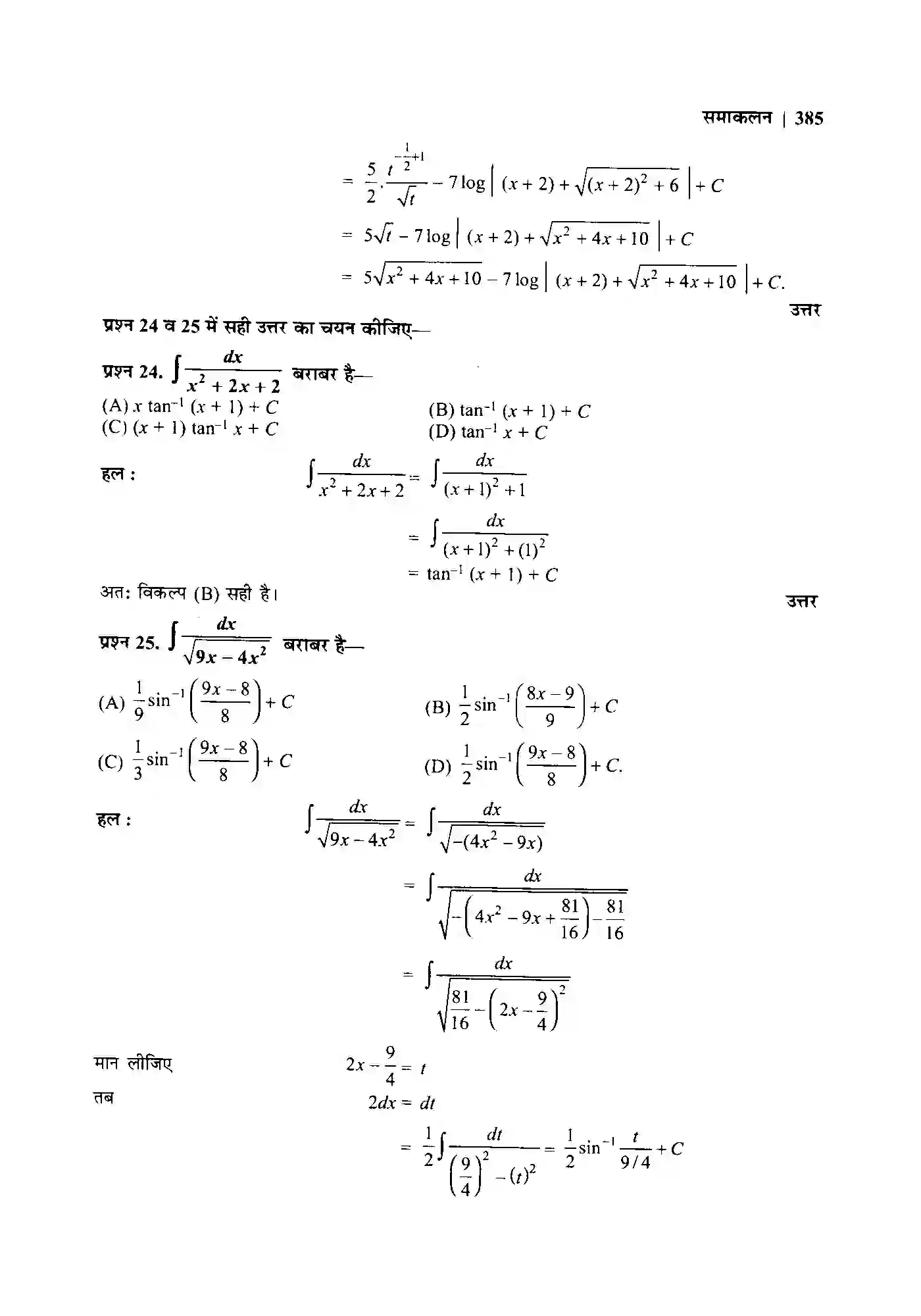
Bihar Board Class 12th Maths (गणित) Chapter 7 (समाकलन) Solution 24
https://biharboardbook.com
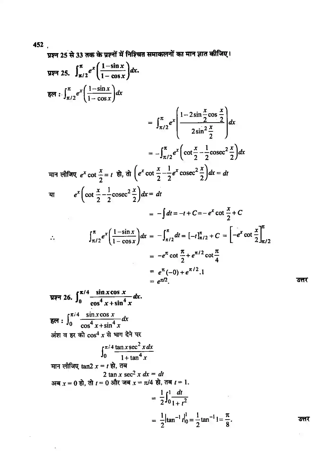
Bihar Board Class 12th Maths (गणित) Chapter 7 (समाकलन) Solution 25
https://biharboardbook.com
Bihar Board Class 12th Maths (गणित) Chapter 7 (समाकलन) Solution 26
https://biharboardbook.com
Bihar Board Class 12th Maths (गणित) Chapter 7 (समाकलन) Solution 27
https://biharboardbook.com
Bihar Board Class 12th Maths (गणित) Chapter 7 (समाकलन) Solution 28
https://biharboardbook.com
Bihar Board Class 12th Maths (गणित) Chapter 7 (समाकलन) Solution 29
https://biharboardbook.com
Bihar Board Class 12th Maths (गणित) Chapter 7 (समाकलन) Solution 30
https://biharboardbook.com
Bihar Board Class 12th Maths (गणित) Chapter 7 (समाकलन) Solution 31
https://biharboardbook.com
Bihar Board Class 12th Maths (गणित) Chapter 7 (समाकलन) Solution 32
https://biharboardbook.com
Bihar Board Class 12th Maths (गणित) Chapter 7 (समाकलन) Solution 33
https://biharboardbook.com
Bihar Board Class 12th Maths (गणित) Chapter 7 (समाकलन) Solution 34
https://biharboardbook.com
Bihar Board Class 12th Maths (गणित) Chapter 7 (समाकलन) Solution 35
https://biharboardbook.com
Bihar Board Class 12th Maths (गणित) Chapter 7 (समाकलन) Solution 36
https://biharboardbook.com
Bihar Board Class 12th Maths (गणित) Chapter 7 (समाकलन) Solution 37
https://biharboardbook.com
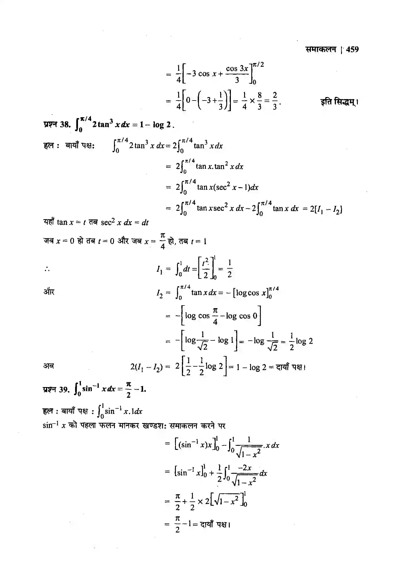
Bihar Board Class 12th Maths (गणित) Chapter 7 (समाकलन) Solution 38
https://biharboardbook.com
Bihar Board Class 12th Maths (गणित) Chapter 7 (समाकलन) Solution 39
https://biharboardbook.com
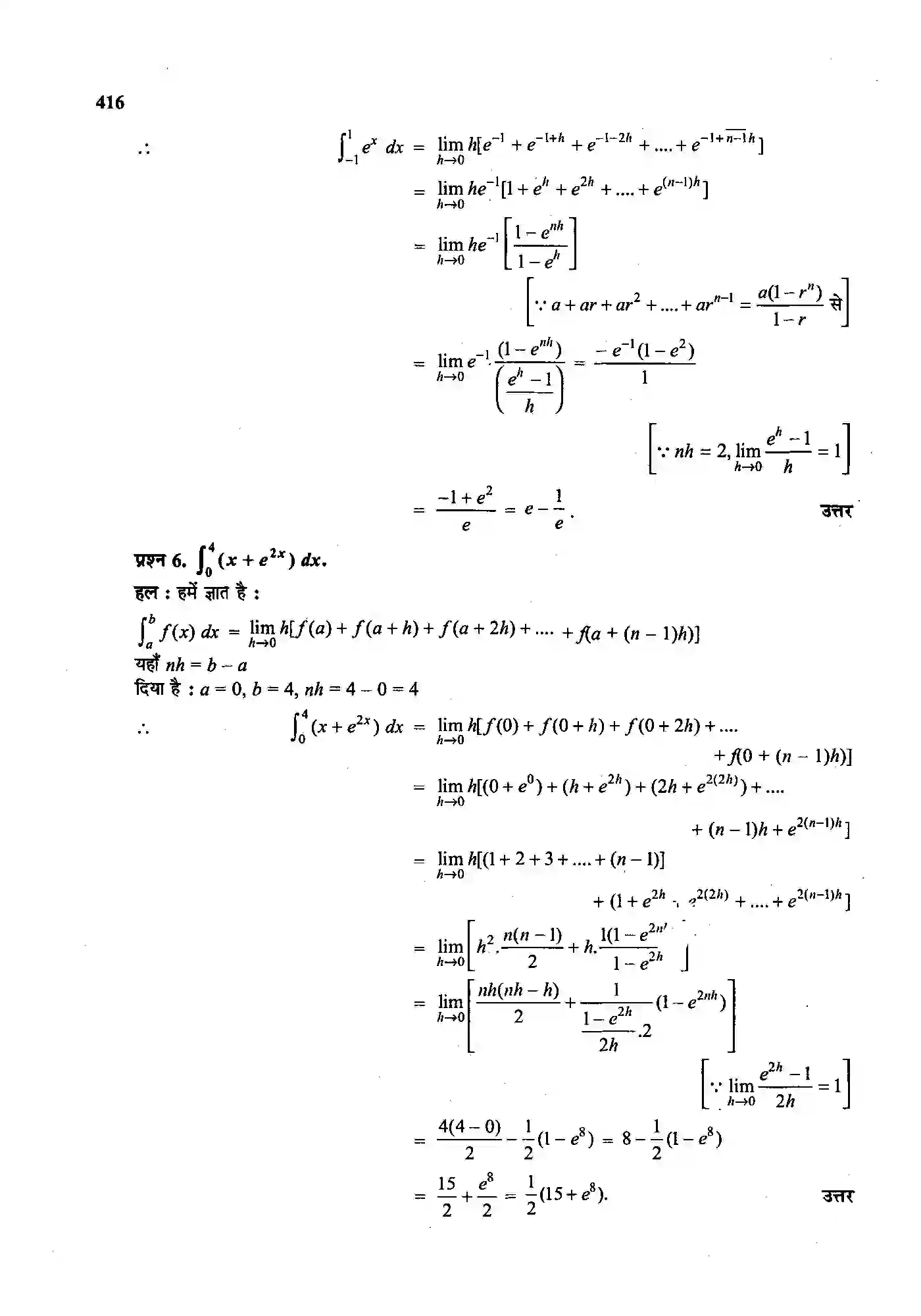
Bihar Board Class 12th Maths (गणित) Chapter 7 (समाकलन) Solution 40
https://biharboardbook.com
Bihar Board Class 12th Maths (गणित) Chapter 7 (समाकलन) Solution 41
https://biharboardbook.com
Bihar Board Class 12th Maths (गणित) Chapter 7 (समाकलन) Solution 42
https://biharboardbook.com
Bihar Board Class 12th Maths (गणित) Chapter 7 (समाकलन) Solution 43
https://biharboardbook.com
Bihar Board Class 12th Maths (गणित) Chapter 7 (समाकलन) Solution 44
https://biharboardbook.com
Bihar Board Class 12th Maths (गणित) Chapter 7 (समाकलन) Solution 45
https://biharboardbook.com
Bihar Board Class 12th Maths (गणित) Chapter 7 (समाकलन) Solution 46
https://biharboardbook.com
Bihar Board Class 12th Maths (गणित) Chapter 7 (समाकलन) Solution 47
https://biharboardbook.com
Bihar Board Class 12th Maths (गणित) Chapter 7 (समाकलन) Solution 48
https://biharboardbook.com
Bihar Board Class 12th Maths (गणित) Chapter 7 (समाकलन) Solution 49
https://biharboardbook.com
Bihar Board Class 12th Maths (गणित) Chapter 7 (समाकलन) Solution 50
https://biharboardbook.com
Bihar Board Class 12th Maths (गणित) Chapter 7 (समाकलन) Solution 51
https://biharboardbook.com
Bihar Board Class 12th Maths (गणित) Chapter 7 (समाकलन) Solution 52
https://biharboardbook.com
Bihar Board Class 12th Maths (गणित) Chapter 7 (समाकलन) Solution 53
https://biharboardbook.com
Bihar Board Class 12th Maths (गणित) Chapter 7 (समाकलन) Solution 54
https://biharboardbook.com
Bihar Board Class 12th Maths (गणित) Chapter 7 (समाकलन) Solution 55
https://biharboardbook.com
Bihar Board Class 12th Maths (गणित) Chapter 7 (समाकलन) Solution 56
https://biharboardbook.com
Bihar Board Class 12th Maths (गणित) Chapter 7 (समाकलन) Solution 57
https://biharboardbook.com
Bihar Board Class 12th Maths (गणित) Chapter 7 (समाकलन) Solution 58
https://biharboardbook.com
Bihar Board Class 12th Maths (गणित) Chapter 7 (समाकलन) Solution 59
https://biharboardbook.com
Bihar Board Class 12th Maths (गणित) Chapter 7 (समाकलन) Solution 60
https://biharboardbook.com
Bihar Board Class 12th Maths (गणित) Chapter 7 (समाकलन) Solution 61
https://biharboardbook.com
Bihar Board Class 12th Maths (गणित) Chapter 7 (समाकलन) Solution 62
https://biharboardbook.com
Bihar Board Class 12th Maths (गणित) Chapter 7 (समाकलन) Solution 63
https://biharboardbook.com
Bihar Board Class 12th Maths (गणित) Chapter 7 (समाकलन) Solution 64
https://biharboardbook.com
Bihar Board Class 12th Maths (गणित) Chapter 7 (समाकलन) Solution 65
https://biharboardbook.com
Bihar Board Class 12th Maths (गणित) Chapter 7 (समाकलन) Solution 66
https://biharboardbook.com
Bihar Board Class 12th Maths (गणित) Chapter 7 (समाकलन) Solution 67
https://biharboardbook.com
Bihar Board Class 12th Maths (गणित) Chapter 7 (समाकलन) Solution 68
https://biharboardbook.com
Bihar Board Class 12th Maths (गणित) Chapter 7 (समाकलन) Solution 69
https://biharboardbook.com
Bihar Board Class 12th Maths (गणित) Chapter 7 (समाकलन) Solution 70
https://biharboardbook.com
Bihar Board Class 12th Maths (गणित) Chapter 7 (समाकलन) Solution 71
https://biharboardbook.com
Bihar Board Class 12th Maths (गणित) Chapter 7 (समाकलन) Solution 72
https://biharboardbook.com
Bihar Board Class 12th Maths (गणित) Chapter 7 (समाकलन) Solution 73
https://biharboardbook.com
Bihar Board Class 12th Maths (गणित) Chapter 7 (समाकलन) Solution 74
https://biharboardbook.com
Bihar Board Class 12th Maths (गणित) Chapter 7 (समाकलन) Solution 75
https://biharboardbook.com
Bihar Board Class 12th Maths (गणित) Chapter 7 (समाकलन) Solution 76
https://biharboardbook.com
Bihar Board Class 12th Maths (गणित) Chapter 7 (समाकलन) Solution 77
https://biharboardbook.com
Bihar Board Class 12th Maths (गणित) Chapter 7 (समाकलन) Solution 78
https://biharboardbook.com
Bihar Board Class 12th Maths (गणित) Chapter 7 (समाकलन) Solution 79
https://biharboardbook.com
Bihar Board Class 12th Maths (गणित) Chapter 7 (समाकलन) Solution 80
https://biharboardbook.com
Bihar Board Class 12th Maths (गणित) Chapter 7 (समाकलन) Solution 81
https://biharboardbook.com
Bihar Board Class 12th Maths (गणित) Chapter 7 (समाकलन) Solution 82
https://biharboardbook.com
Bihar Board Class 12th Maths (गणित) Chapter 7 (समाकलन) Solution 83
https://biharboardbook.com
Bihar Board Class 12th Maths (गणित) Chapter 7 (समाकलन) Solution 84
https://biharboardbook.com
Bihar Board Class 12th Maths (गणित) Chapter 7 (समाकलन) Solution 85
https://biharboardbook.com
Bihar Board Class 12th Maths (गणित) Chapter 7 (समाकलन) Solution 86
https://biharboardbook.com
Bihar Board Class 12th Maths (गणित) Chapter 7 (समाकलन) Solution 87
https://biharboardbook.com
Bihar Board Class 12th Maths (गणित) Chapter 7 (समाकलन) Solution 88
https://biharboardbook.com
Bihar Board Class 12th Maths (गणित) Chapter 7 (समाकलन) Solution 89
https://biharboardbook.com
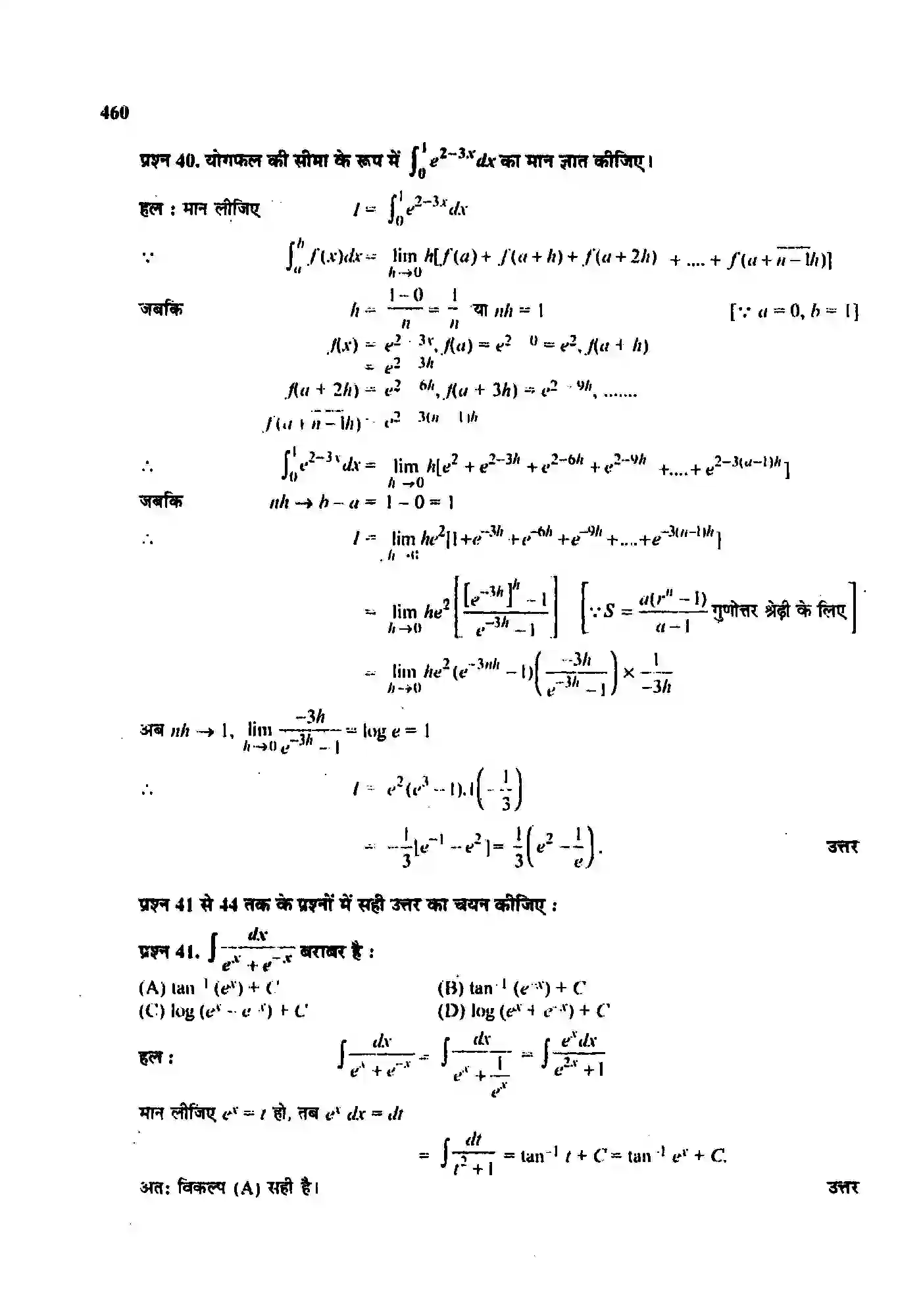
Bihar Board Class 12th Maths (गणित) Chapter 7 (समाकलन) Solution 90
https://biharboardbook.com
Bihar Board Class 12th Maths (गणित) Chapter 7 (समाकलन) Solution 91
https://biharboardbook.com
Bihar Board Class 12th Maths (गणित) Chapter 7 (समाकलन) Solution 92
https://biharboardbook.com
Bihar Board Class 12th Maths (गणित) Chapter 7 (समाकलन) Solution 93
https://biharboardbook.com
Bihar Board Class 12th Maths (गणित) Chapter 7 (समाकलन) Solution 94
https://biharboardbook.com
Bihar Board Class 12th Maths (गणित) Chapter 7 (समाकलन) Solution 95
https://biharboardbook.com
Bihar Board Class 12th Maths (गणित) Chapter 7 (समाकलन) Solution 96
https://biharboardbook.com
Bihar Board Class 12th Maths (गणित) Chapter 7 (समाकलन) Solution 97
https://biharboardbook.com
Bihar Board Class 12th Maths (गणित) Chapter 7 (समाकलन) Solution 98
https://biharboardbook.com
Bihar Board Class 12th Maths (गणित) Chapter 7 (समाकलन) Solution 99
https://biharboardbook.com
Bihar Board Class 12th Maths (गणित) Chapter 7 (समाकलन) Solution 100
https://biharboardbook.com
Bihar Board Class 12th Maths (गणित) Chapter 7 (समाकलन) Solution 101
https://biharboardbook.com
Bihar Board Class 12th Maths (गणित) Chapter 7 (समाकलन) Solution 102
https://biharboardbook.com
Bihar Board Class 12th Maths (गणित) Chapter 7 (समाकलन) Solution 103
https://biharboardbook.com
Bihar Board Class 12th Maths (गणित) Chapter 7 (समाकलन) Solution 104
https://biharboardbook.com
Bihar Board Class 12th Maths (गणित) Chapter 7 (समाकलन) Solution 105
https://biharboardbook.com
Bihar Board Class 12th Maths (गणित) Chapter 7 (समाकलन) Solution 106
https://biharboardbook.com
Bihar Board Class 12th Maths (गणित) Chapter 7 (समाकलन) Solution 107
https://biharboardbook.com
Bihar Board Class 12th Maths (गणित) Chapter 7 (समाकलन) Solution 108
https://biharboardbook.com
Bihar Board Class 12th Maths (गणित) Chapter 7 (समाकलन) Solution 109
https://biharboardbook.com
Bihar Board Class 12th Maths (गणित) Chapter 7 (समाकलन) Solution 110
https://biharboardbook.com
Bihar Board Class 12th Maths (गणित) Chapter 7 (समाकलन) Solution 111
https://biharboardbook.com
Bihar Board Class 12th Maths (गणित) Chapter 7 (समाकलन) Solution 112
https://biharboardbook.com
Bihar Board Class 12th Maths (गणित) Chapter 7 (समाकलन) Solution 113
https://biharboardbook.com
Bihar Board Class 12th Maths (गणित) Chapter 7 (समाकलन) Solution 114
https://biharboardbook.com
Bihar Board Class 12th Maths (गणित) Chapter 7 (समाकलन) Solution 115
https://biharboardbook.com
Bihar Board Class 12th Maths (गणित) Chapter 7 (समाकलन) Solution 116
https://biharboardbook.com
Bihar Board Class 12th Maths (गणित) Chapter 7 (समाकलन) Solution 117
https://biharboardbook.com
Bihar Board Class 12th Maths (गणित) Chapter 7 (समाकलन) Solution 118
https://biharboardbook.com

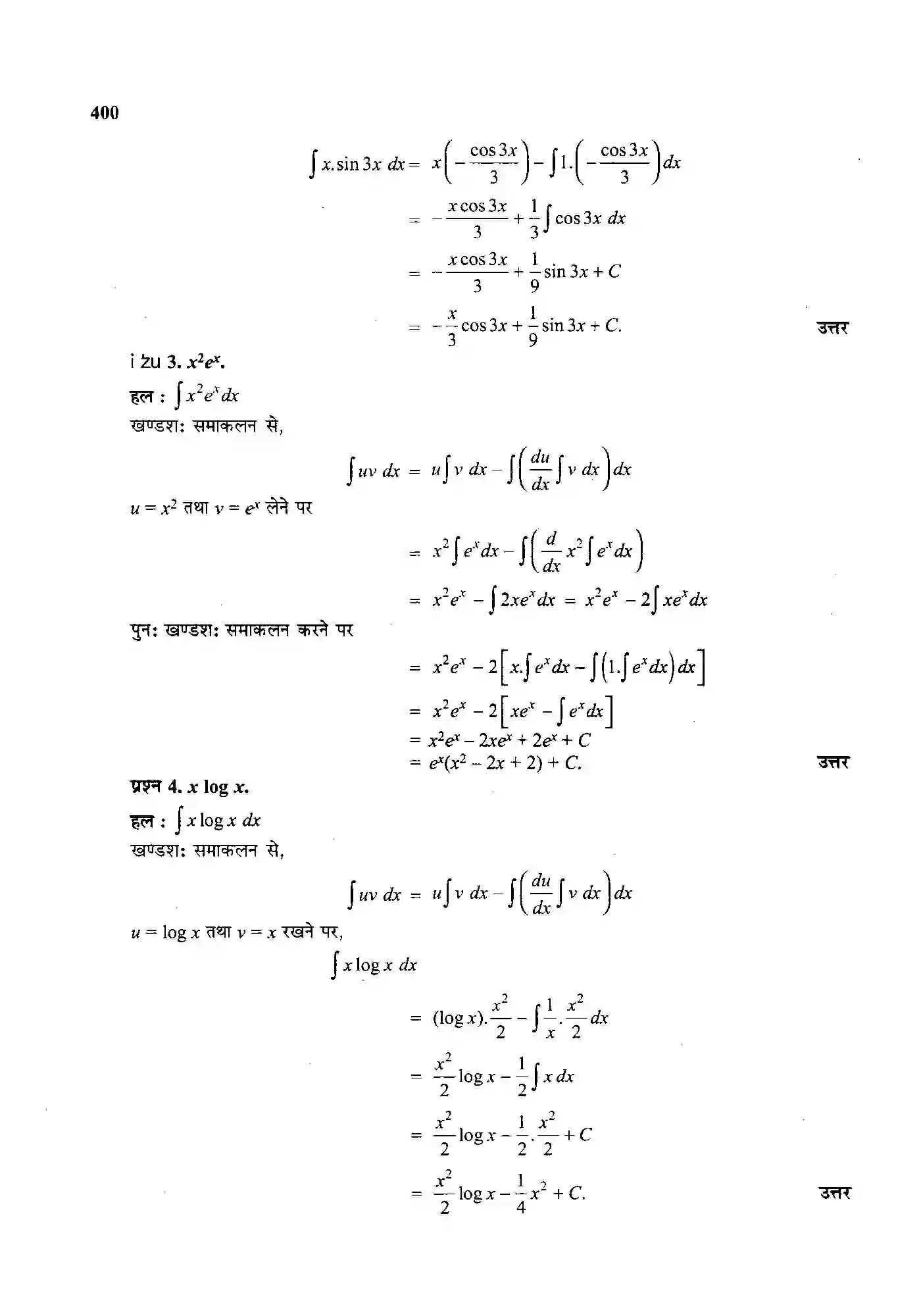
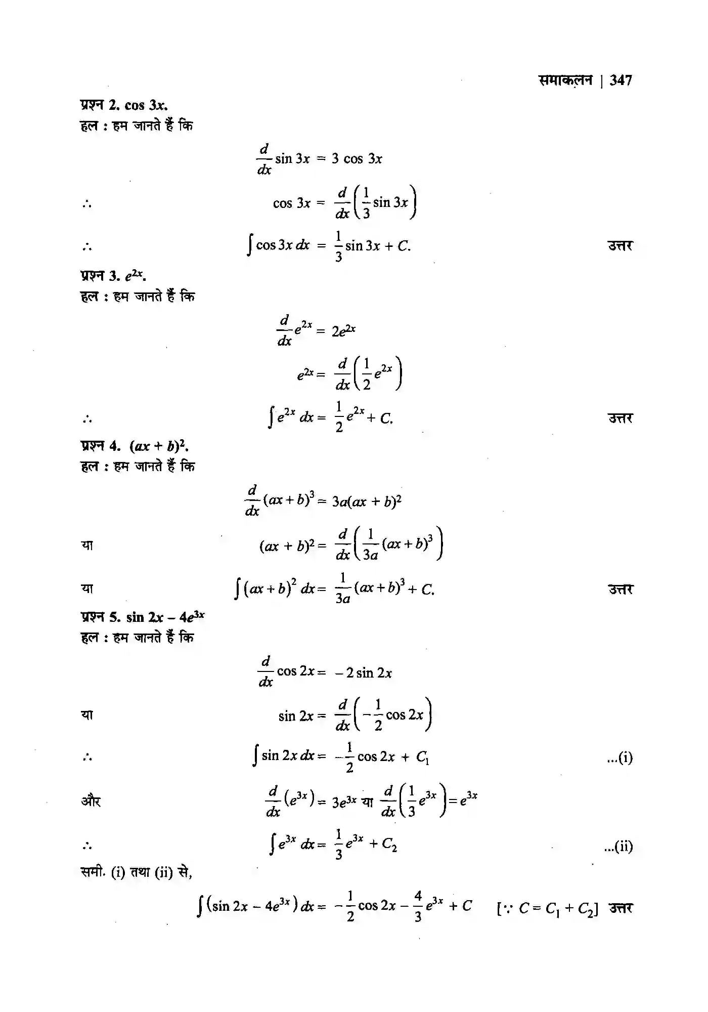
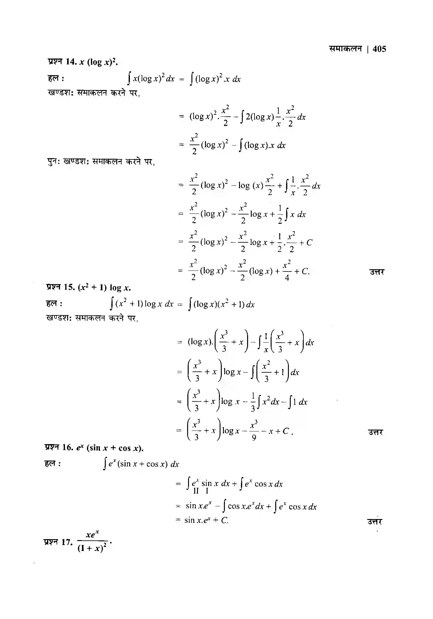
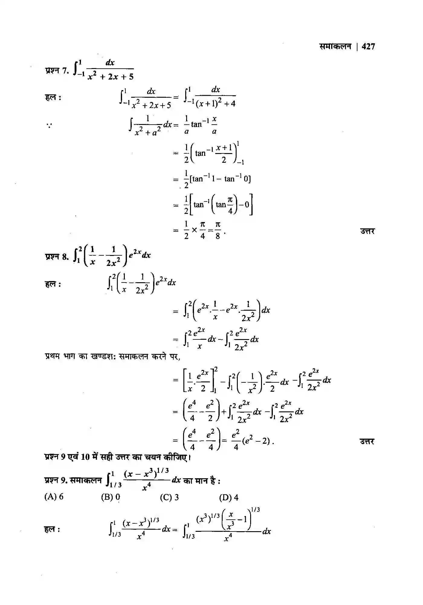
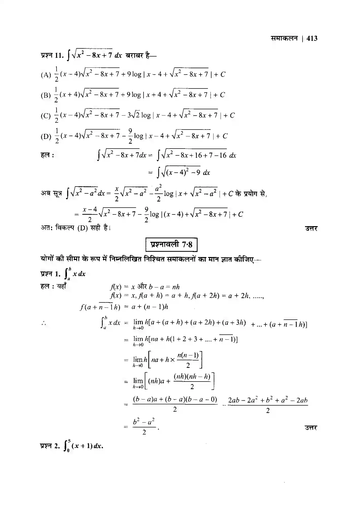
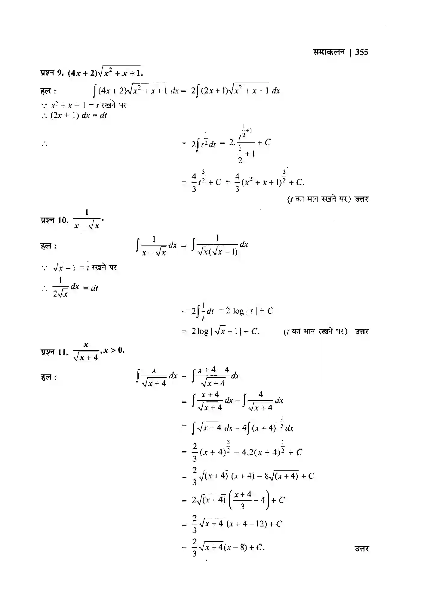
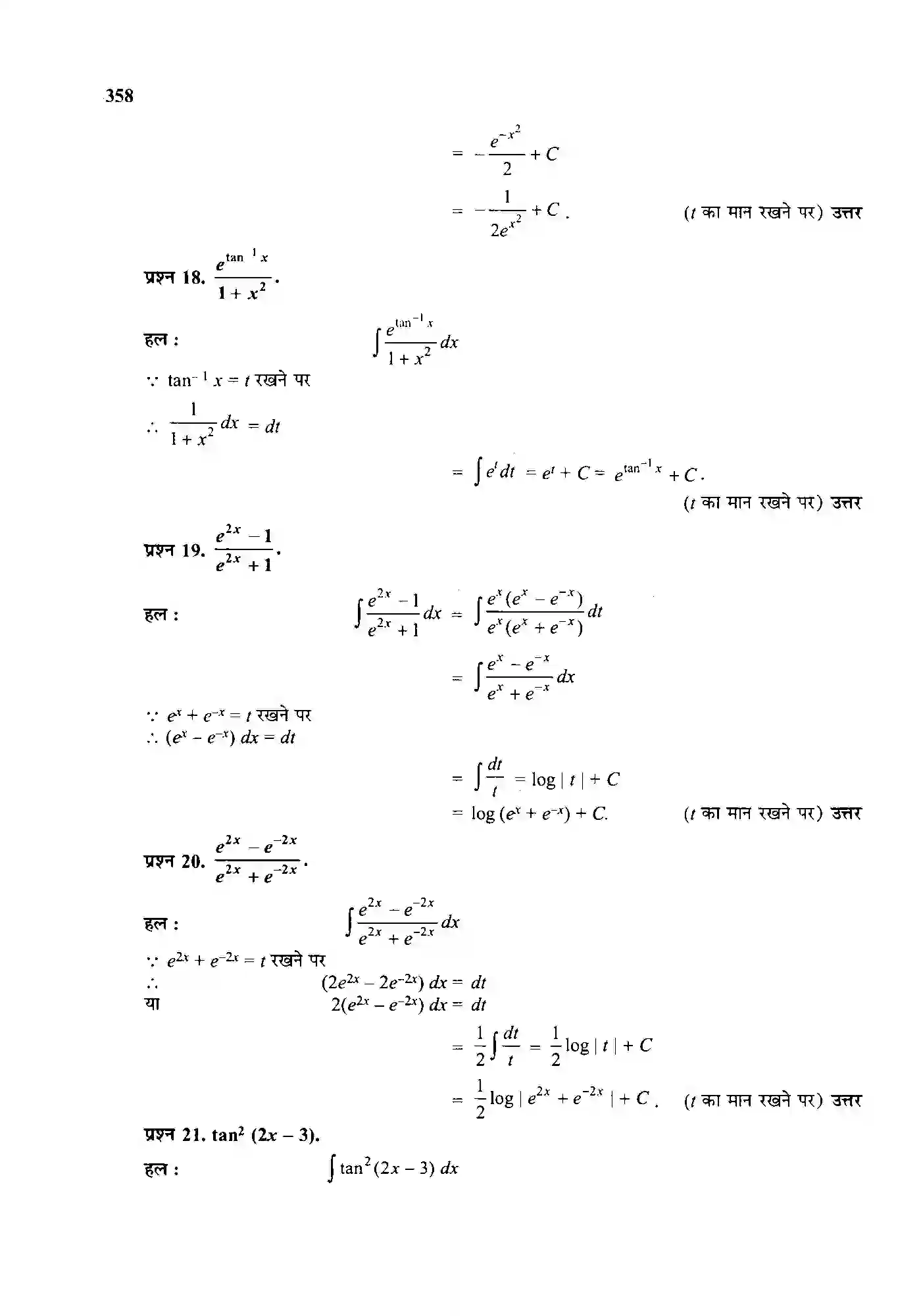
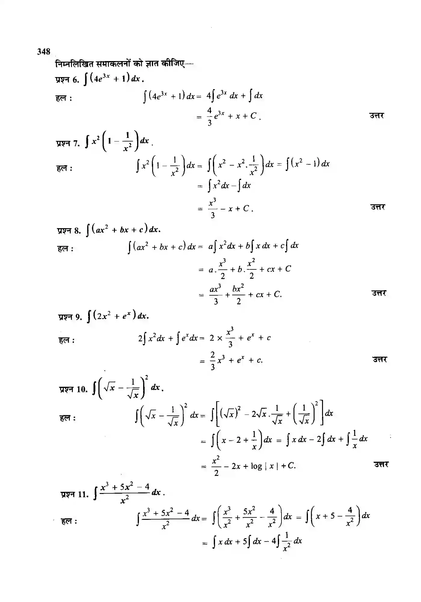
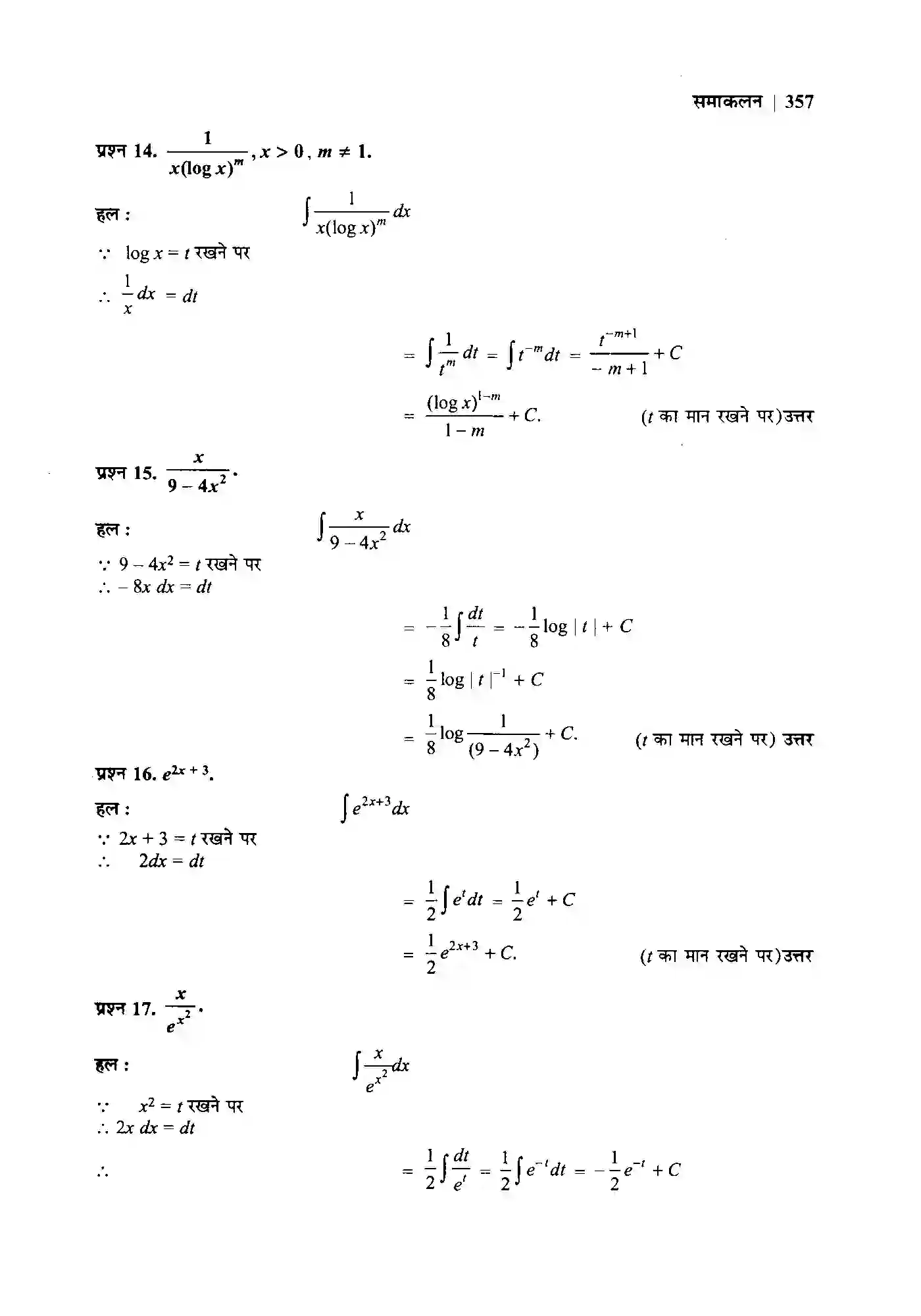
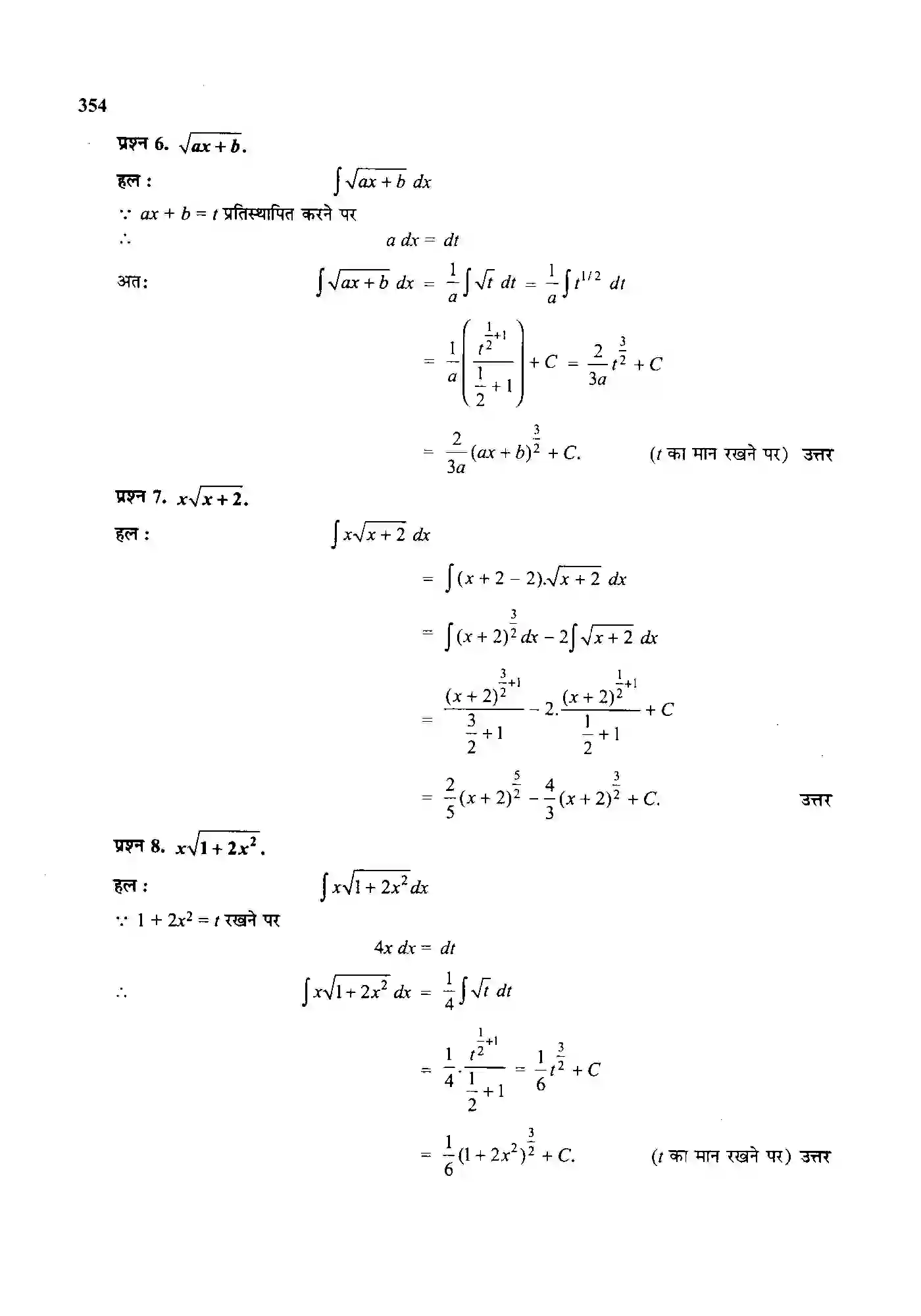
All Bihar Board Class 12th Maths (गणित) Chapter 7 (समाकलन) Solutions on this page can be viewed free of cost. Follow the best practices given after the solutions to achieve higher marks.

How to achieve higher marks in Bihar Board Class 12th Maths (गणित):

How to download Bihar Board Class 12th Maths (गणित) Chapter 7 (समाकलन) Solutions

  1. Visit https://biharboardbook.com
  2. Home page of Bihar Board Book will be loaded. Here select Solutions from the navigation bar at top.
  3. List of classes for which solution is available for Bihar Board students will be loaded. Now select the class which is relevant for you – in this case we will select Class 12th from this list.
  4. List of subjects for which solution is available for Bihar Board Class 12th students will display here. Now select the subject for which you want to download the solution – here we will select Maths (गणित) (you can choose any subject which is relevant for you).
  5. List of chapters will start displaying here for Maths (गणित) for Class 12th students of Bihar Board. Now select the chapter for which you want the solution. We will select Chapter 7 (समाकलन) in this case; you can opt based on your requirements.
  6. Solution for Class 12th Maths (गणित) of Bihar Board for Chapter 7 (समाकलन) will load here. If you are on desktop, right-click and save the image (all solutions here are given as images). If you are on mobile, long-press the image to save it. This will download the solution.

Other Chapters of Maths (गणित)

Browse other chapters of Bihar Board Class 12th Maths (गणित) Solutions. Click on any chapter below to view its content.