Bihar Board Class 12th Chemistry (रसायन विज्ञान) Chapter 12 (एल्डिहाईड, कीटोन एवं कर्बोक्सिलिक अम्ल) Solutions

Here we have provided Solution for Chapter 12 (एल्डिहाईड, कीटोन एवं कर्बोक्सिलिक अम्ल) of Chemistry (रसायन विज्ञान) subject for Class 12th students of Bihar Board of Secondary Education. There are various chapters in this Chemistry (रसायन विज्ञान) such as Chapter 1 (ठोस अवस्था), Chapter 2 (विलयन), Chapter 3 (वैद्युत रसायन), Chapter 4 (रासायनिक बलगतिकी), Chapter 5 (रसायन), Chapter 6 (तत्वों के निष्कर्षण के सिद्धांत एवं प्रक्रम), Chapter 7 (P (ब्लाक के तत्व), Chapter 8 (D & F ब्लाक के तत्व), Chapter 9 (उपसहसंयोजक यौगिक), Chapter 10 (हैलोएल्केन्स, फिनाल एवं ईथर), Chapter 11 (एल्कोहाल, फिनाल एवं ईथर), Chapter 12 (एल्डिहाईड, कीटोन एवं कर्बोक्सिलिक अम्ल), Chapter 13 (एमिन), Chapter 14 (जैव अणु), Chapter 15 (बहुलक) and Chapter 16 (दैनिक जीवन में रसायन). Summary of the same is given below:

Board NameBihar Board of Secondary Education
ClassClass 12th
Content TypeSolution
Solution forClass 12th students
SubjectChemistry (रसायन विज्ञान)
Chapter NameChapter 12 (एल्डिहाईड, कीटोन एवं कर्बोक्सिलिक अम्ल)
Total Number of Chapter in this Subject16

Studying Bihar Board Class 12th Chemistry (रसायन विज्ञान) Chapter 12 (एल्डिहाईड, कीटोन एवं कर्बोक्सिलिक अम्ल) solution will help you higher marks in this subject but you need to follow best practices to achieve higher marks, which are given after solutions, go through them once.

Bihar Board Class 12th Chemistry (रसायन विज्ञान) Chapter 12 (एल्डिहाईड, कीटोन एवं कर्बोक्सिलिक अम्ल) Solutions

View the following solutions for Bihar Board Class 12th Chemistry (रसायन विज्ञान) Chapter 12 (एल्डिहाईड, कीटोन एवं कर्बोक्सिलिक अम्ल). These solutions are available for viewing online.

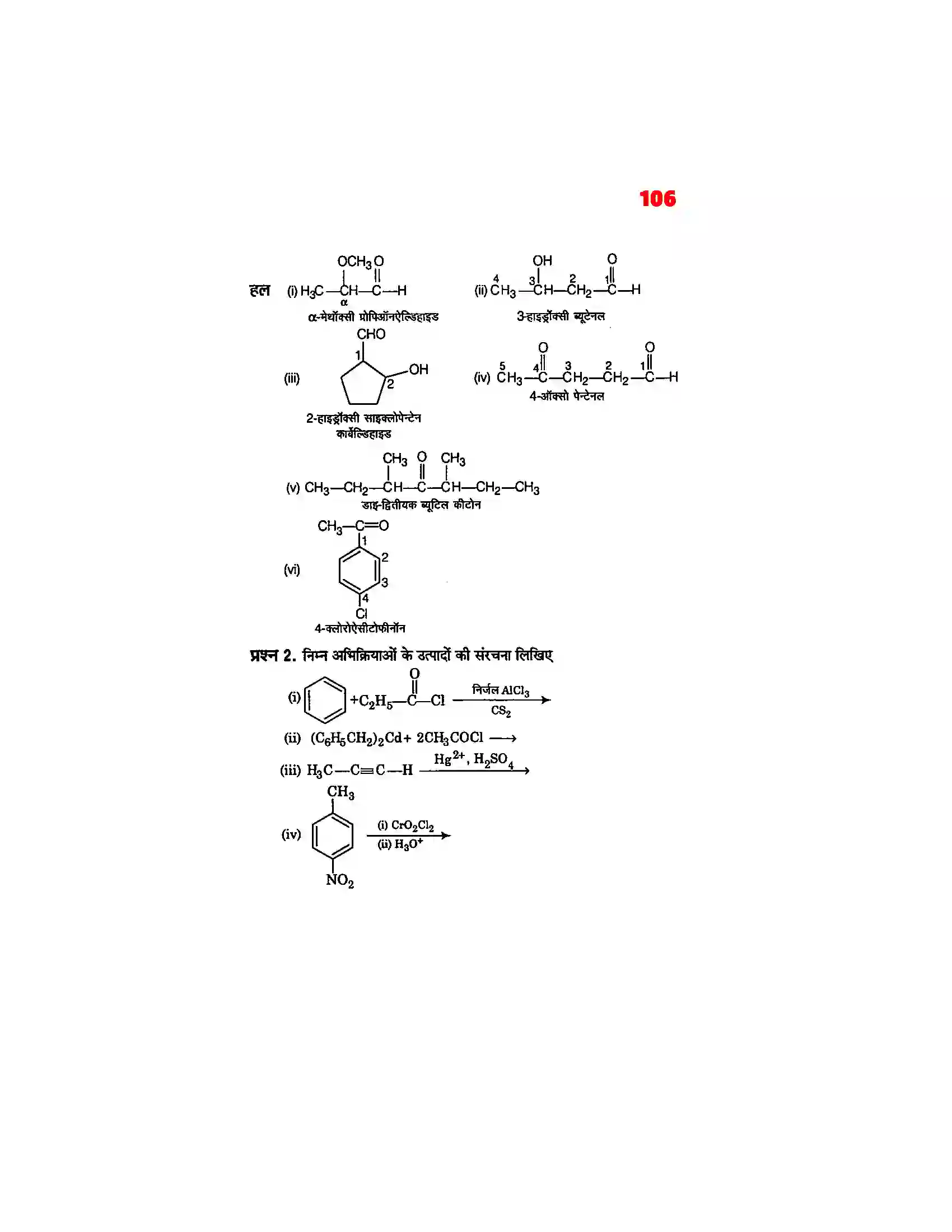
Bihar Board Class 12th Chemistry (रसायन विज्ञान) Chapter 12 (एल्डिहाईड, कीटोन एवं कर्बोक्सिलिक अम्ल) Solution 1
https://biharboardbook.com
Bihar Board Class 12th Chemistry (रसायन विज्ञान) Chapter 12 (एल्डिहाईड, कीटोन एवं कर्बोक्सिलिक अम्ल) Solution 2
https://biharboardbook.com
Bihar Board Class 12th Chemistry (रसायन विज्ञान) Chapter 12 (एल्डिहाईड, कीटोन एवं कर्बोक्सिलिक अम्ल) Solution 3
https://biharboardbook.com
Bihar Board Class 12th Chemistry (रसायन विज्ञान) Chapter 12 (एल्डिहाईड, कीटोन एवं कर्बोक्सिलिक अम्ल) Solution 4
https://biharboardbook.com
Bihar Board Class 12th Chemistry (रसायन विज्ञान) Chapter 12 (एल्डिहाईड, कीटोन एवं कर्बोक्सिलिक अम्ल) Solution 5
https://biharboardbook.com
Bihar Board Class 12th Chemistry (रसायन विज्ञान) Chapter 12 (एल्डिहाईड, कीटोन एवं कर्बोक्सिलिक अम्ल) Solution 6
https://biharboardbook.com
Bihar Board Class 12th Chemistry (रसायन विज्ञान) Chapter 12 (एल्डिहाईड, कीटोन एवं कर्बोक्सिलिक अम्ल) Solution 7
https://biharboardbook.com
Bihar Board Class 12th Chemistry (रसायन विज्ञान) Chapter 12 (एल्डिहाईड, कीटोन एवं कर्बोक्सिलिक अम्ल) Solution 8
https://biharboardbook.com
Bihar Board Class 12th Chemistry (रसायन विज्ञान) Chapter 12 (एल्डिहाईड, कीटोन एवं कर्बोक्सिलिक अम्ल) Solution 9
https://biharboardbook.com
Bihar Board Class 12th Chemistry (रसायन विज्ञान) Chapter 12 (एल्डिहाईड, कीटोन एवं कर्बोक्सिलिक अम्ल) Solution 10
https://biharboardbook.com
Bihar Board Class 12th Chemistry (रसायन विज्ञान) Chapter 12 (एल्डिहाईड, कीटोन एवं कर्बोक्सिलिक अम्ल) Solution 11
https://biharboardbook.com
Bihar Board Class 12th Chemistry (रसायन विज्ञान) Chapter 12 (एल्डिहाईड, कीटोन एवं कर्बोक्सिलिक अम्ल) Solution 12
https://biharboardbook.com
Bihar Board Class 12th Chemistry (रसायन विज्ञान) Chapter 12 (एल्डिहाईड, कीटोन एवं कर्बोक्सिलिक अम्ल) Solution 13
https://biharboardbook.com
Bihar Board Class 12th Chemistry (रसायन विज्ञान) Chapter 12 (एल्डिहाईड, कीटोन एवं कर्बोक्सिलिक अम्ल) Solution 14
https://biharboardbook.com
Bihar Board Class 12th Chemistry (रसायन विज्ञान) Chapter 12 (एल्डिहाईड, कीटोन एवं कर्बोक्सिलिक अम्ल) Solution 15
https://biharboardbook.com
Bihar Board Class 12th Chemistry (रसायन विज्ञान) Chapter 12 (एल्डिहाईड, कीटोन एवं कर्बोक्सिलिक अम्ल) Solution 16
https://biharboardbook.com
Bihar Board Class 12th Chemistry (रसायन विज्ञान) Chapter 12 (एल्डिहाईड, कीटोन एवं कर्बोक्सिलिक अम्ल) Solution 17
https://biharboardbook.com
Bihar Board Class 12th Chemistry (रसायन विज्ञान) Chapter 12 (एल्डिहाईड, कीटोन एवं कर्बोक्सिलिक अम्ल) Solution 18
https://biharboardbook.com
Bihar Board Class 12th Chemistry (रसायन विज्ञान) Chapter 12 (एल्डिहाईड, कीटोन एवं कर्बोक्सिलिक अम्ल) Solution 19
https://biharboardbook.com
Bihar Board Class 12th Chemistry (रसायन विज्ञान) Chapter 12 (एल्डिहाईड, कीटोन एवं कर्बोक्सिलिक अम्ल) Solution 20
https://biharboardbook.com
Bihar Board Class 12th Chemistry (रसायन विज्ञान) Chapter 12 (एल्डिहाईड, कीटोन एवं कर्बोक्सिलिक अम्ल) Solution 21
https://biharboardbook.com
Bihar Board Class 12th Chemistry (रसायन विज्ञान) Chapter 12 (एल्डिहाईड, कीटोन एवं कर्बोक्सिलिक अम्ल) Solution 22
https://biharboardbook.com
Bihar Board Class 12th Chemistry (रसायन विज्ञान) Chapter 12 (एल्डिहाईड, कीटोन एवं कर्बोक्सिलिक अम्ल) Solution 23
https://biharboardbook.com
Bihar Board Class 12th Chemistry (रसायन विज्ञान) Chapter 12 (एल्डिहाईड, कीटोन एवं कर्बोक्सिलिक अम्ल) Solution 24
https://biharboardbook.com
Bihar Board Class 12th Chemistry (रसायन विज्ञान) Chapter 12 (एल्डिहाईड, कीटोन एवं कर्बोक्सिलिक अम्ल) Solution 25
https://biharboardbook.com
Bihar Board Class 12th Chemistry (रसायन विज्ञान) Chapter 12 (एल्डिहाईड, कीटोन एवं कर्बोक्सिलिक अम्ल) Solution 26
https://biharboardbook.com
Bihar Board Class 12th Chemistry (रसायन विज्ञान) Chapter 12 (एल्डिहाईड, कीटोन एवं कर्बोक्सिलिक अम्ल) Solution 27
https://biharboardbook.com
Bihar Board Class 12th Chemistry (रसायन विज्ञान) Chapter 12 (एल्डिहाईड, कीटोन एवं कर्बोक्सिलिक अम्ल) Solution 28
https://biharboardbook.com
Bihar Board Class 12th Chemistry (रसायन विज्ञान) Chapter 12 (एल्डिहाईड, कीटोन एवं कर्बोक्सिलिक अम्ल) Solution 29
https://biharboardbook.com
Bihar Board Class 12th Chemistry (रसायन विज्ञान) Chapter 12 (एल्डिहाईड, कीटोन एवं कर्बोक्सिलिक अम्ल) Solution 30
https://biharboardbook.com
Bihar Board Class 12th Chemistry (रसायन विज्ञान) Chapter 12 (एल्डिहाईड, कीटोन एवं कर्बोक्सिलिक अम्ल) Solution 31
https://biharboardbook.com
Bihar Board Class 12th Chemistry (रसायन विज्ञान) Chapter 12 (एल्डिहाईड, कीटोन एवं कर्बोक्सिलिक अम्ल) Solution 32
https://biharboardbook.com
Bihar Board Class 12th Chemistry (रसायन विज्ञान) Chapter 12 (एल्डिहाईड, कीटोन एवं कर्बोक्सिलिक अम्ल) Solution 33
https://biharboardbook.com
Bihar Board Class 12th Chemistry (रसायन विज्ञान) Chapter 12 (एल्डिहाईड, कीटोन एवं कर्बोक्सिलिक अम्ल) Solution 34
https://biharboardbook.com
Bihar Board Class 12th Chemistry (रसायन विज्ञान) Chapter 12 (एल्डिहाईड, कीटोन एवं कर्बोक्सिलिक अम्ल) Solution 35
https://biharboardbook.com
Bihar Board Class 12th Chemistry (रसायन विज्ञान) Chapter 12 (एल्डिहाईड, कीटोन एवं कर्बोक्सिलिक अम्ल) Solution 36
https://biharboardbook.com
Bihar Board Class 12th Chemistry (रसायन विज्ञान) Chapter 12 (एल्डिहाईड, कीटोन एवं कर्बोक्सिलिक अम्ल) Solution 37
https://biharboardbook.com
Bihar Board Class 12th Chemistry (रसायन विज्ञान) Chapter 12 (एल्डिहाईड, कीटोन एवं कर्बोक्सिलिक अम्ल) Solution 38
https://biharboardbook.com

All Bihar Board Class 12th Chemistry (रसायन विज्ञान) Chapter 12 (एल्डिहाईड, कीटोन एवं कर्बोक्सिलिक अम्ल) Solutions on this page can be viewed free of cost. Follow the best practices given after the solutions to achieve higher marks.

How to achieve higher marks in Bihar Board Class 12th Chemistry (रसायन विज्ञान):

How to download Bihar Board Class 12th Chemistry (रसायन विज्ञान) Chapter 12 (एल्डिहाईड, कीटोन एवं कर्बोक्सिलिक अम्ल) Solutions

  1. Visit https://biharboardbook.com
  2. Home page of Bihar Board Book will be loaded. Here select Solutions from the navigation bar at top.
  3. List of classes for which solution is available for Bihar Board students will be loaded. Now select the class which is relevant for you – in this case we will select Class 12th from this list.
  4. List of subjects for which solution is available for Bihar Board Class 12th students will display here. Now select the subject for which you want to download the solution – here we will select Chemistry (रसायन विज्ञान) (you can choose any subject which is relevant for you).
  5. List of chapters will start displaying here for Chemistry (रसायन विज्ञान) for Class 12th students of Bihar Board. Now select the chapter for which you want the solution. We will select Chapter 12 (एल्डिहाईड, कीटोन एवं कर्बोक्सिलिक अम्ल) in this case; you can opt based on your requirements.
  6. Solution for Class 12th Chemistry (रसायन विज्ञान) of Bihar Board for Chapter 12 (एल्डिहाईड, कीटोन एवं कर्बोक्सिलिक अम्ल) will load here. If you are on desktop, right-click and save the image (all solutions here are given as images). If you are on mobile, long-press the image to save it. This will download the solution.

Other Chapters of Chemistry (रसायन विज्ञान)

Browse other chapters of Bihar Board Class 12th Chemistry (रसायन विज्ञान) Solutions. Click on any chapter below to view its content.

Continue Your Bihar Board Class 12th Chemistry (रसायन विज्ञान) Exam Preparation

Continue your exam preparation by exploring other chapters and resources. Combine these solutions with our other resources like Bihar Board Books, Previous Year Papers, and Revision Notes for a complete and effective preparation strategy.

If you have any questions or need assistance, feel free to contact us. We're here to help you succeed in your Bihar Board examinations.