Bihar Board Class 10th Maths (गणित) Chapter 9 (वृत्त त्रिकोणमिति के कुछ अनुप्रयोग) Solutions

Welcome to Bihar Board Class 10th Maths (गणित) Chapter 9 (वृत्त त्रिकोणमिति के कुछ अनुप्रयोग) Solutions at BiharBoardBook. We provide free access to detailed, step-by-step solutions for the Chapter 9 (वृत्त त्रिकोणमिति के कुछ अनुप्रयोग) chapter of Maths (गणित) subject, prescribed by the Bihar School Examination Board (BSEB) for Class 10th students.

Bihar Board Class 10th Maths (गणित) Chapter 9 (वृत्त त्रिकोणमिति के कुछ अनुप्रयोग) Solutions

View the following solutions for Bihar Board Class 10th Maths (गणित) Chapter 9 (वृत्त त्रिकोणमिति के कुछ अनुप्रयोग). These solutions are available for viewing online.

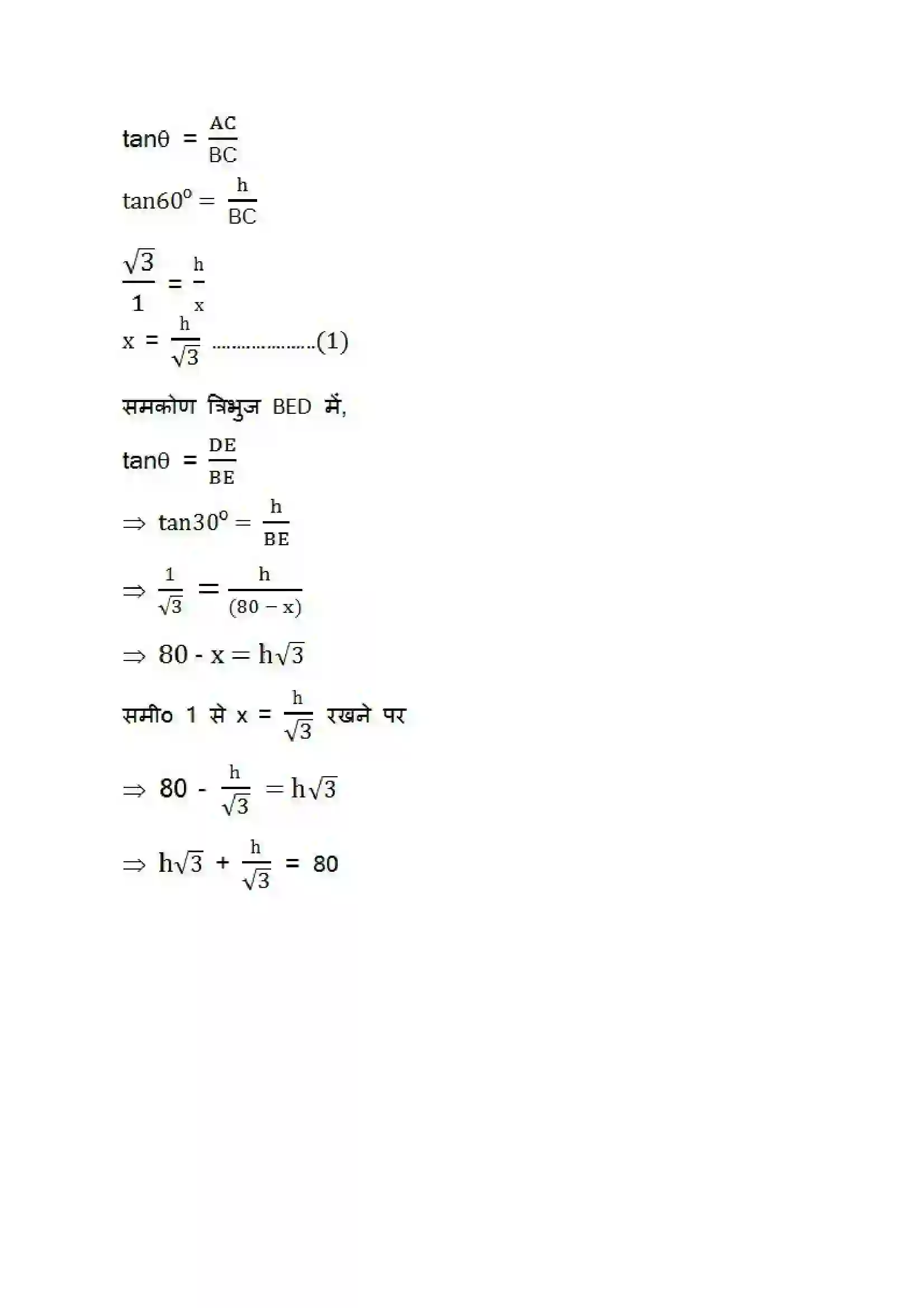
Bihar Board Class 10th Maths (गणित) Chapter 9 (वृत्त त्रिकोणमिति के कुछ अनुप्रयोग) Solution 1
https://biharboardbook.com
Bihar Board Class 10th Maths (गणित) Chapter 9 (वृत्त त्रिकोणमिति के कुछ अनुप्रयोग) Solution 2
https://biharboardbook.com
Bihar Board Class 10th Maths (गणित) Chapter 9 (वृत्त त्रिकोणमिति के कुछ अनुप्रयोग) Solution 3
https://biharboardbook.com
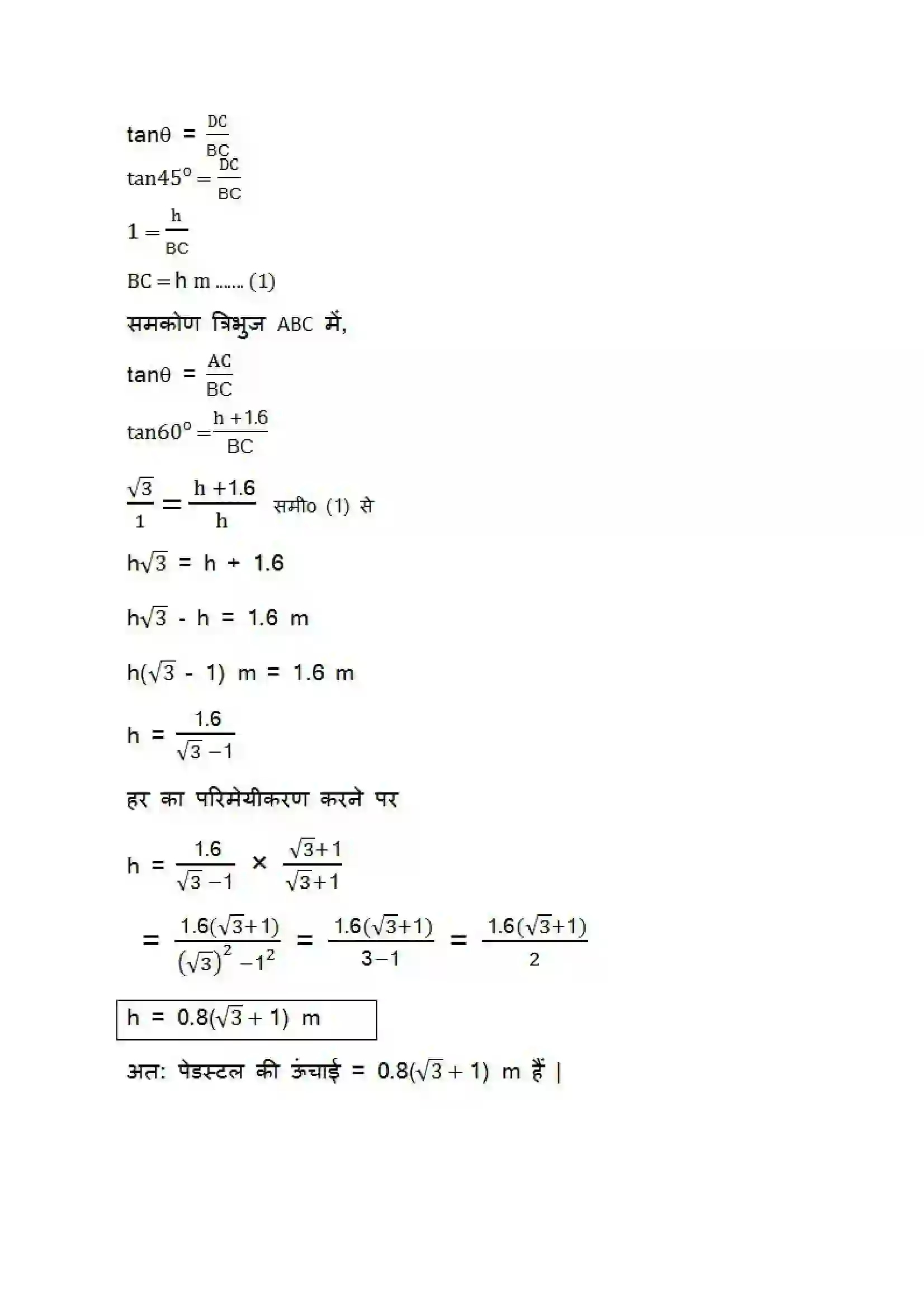
Bihar Board Class 10th Maths (गणित) Chapter 9 (वृत्त त्रिकोणमिति के कुछ अनुप्रयोग) Solution 4
https://biharboardbook.com
Bihar Board Class 10th Maths (गणित) Chapter 9 (वृत्त त्रिकोणमिति के कुछ अनुप्रयोग) Solution 5
https://biharboardbook.com
Bihar Board Class 10th Maths (गणित) Chapter 9 (वृत्त त्रिकोणमिति के कुछ अनुप्रयोग) Solution 6
https://biharboardbook.com
Bihar Board Class 10th Maths (गणित) Chapter 9 (वृत्त त्रिकोणमिति के कुछ अनुप्रयोग) Solution 7
https://biharboardbook.com
Bihar Board Class 10th Maths (गणित) Chapter 9 (वृत्त त्रिकोणमिति के कुछ अनुप्रयोग) Solution 8
https://biharboardbook.com
Bihar Board Class 10th Maths (गणित) Chapter 9 (वृत्त त्रिकोणमिति के कुछ अनुप्रयोग) Solution 9
https://biharboardbook.com
Bihar Board Class 10th Maths (गणित) Chapter 9 (वृत्त त्रिकोणमिति के कुछ अनुप्रयोग) Solution 10
https://biharboardbook.com
Bihar Board Class 10th Maths (गणित) Chapter 9 (वृत्त त्रिकोणमिति के कुछ अनुप्रयोग) Solution 11
https://biharboardbook.com
Bihar Board Class 10th Maths (गणित) Chapter 9 (वृत्त त्रिकोणमिति के कुछ अनुप्रयोग) Solution 12
https://biharboardbook.com
Bihar Board Class 10th Maths (गणित) Chapter 9 (वृत्त त्रिकोणमिति के कुछ अनुप्रयोग) Solution 13
https://biharboardbook.com
Bihar Board Class 10th Maths (गणित) Chapter 9 (वृत्त त्रिकोणमिति के कुछ अनुप्रयोग) Solution 14
https://biharboardbook.com
Bihar Board Class 10th Maths (गणित) Chapter 9 (वृत्त त्रिकोणमिति के कुछ अनुप्रयोग) Solution 15
https://biharboardbook.com
Bihar Board Class 10th Maths (गणित) Chapter 9 (वृत्त त्रिकोणमिति के कुछ अनुप्रयोग) Solution 16
https://biharboardbook.com
Bihar Board Class 10th Maths (गणित) Chapter 9 (वृत्त त्रिकोणमिति के कुछ अनुप्रयोग) Solution 17
https://biharboardbook.com
Bihar Board Class 10th Maths (गणित) Chapter 9 (वृत्त त्रिकोणमिति के कुछ अनुप्रयोग) Solution 18
https://biharboardbook.com
Bihar Board Class 10th Maths (गणित) Chapter 9 (वृत्त त्रिकोणमिति के कुछ अनुप्रयोग) Solution 19
https://biharboardbook.com
Bihar Board Class 10th Maths (गणित) Chapter 9 (वृत्त त्रिकोणमिति के कुछ अनुप्रयोग) Solution 20
https://biharboardbook.com
Bihar Board Class 10th Maths (गणित) Chapter 9 (वृत्त त्रिकोणमिति के कुछ अनुप्रयोग) Solution 21
https://biharboardbook.com
Bihar Board Class 10th Maths (गणित) Chapter 9 (वृत्त त्रिकोणमिति के कुछ अनुप्रयोग) Solution 22
https://biharboardbook.com
Bihar Board Class 10th Maths (गणित) Chapter 9 (वृत्त त्रिकोणमिति के कुछ अनुप्रयोग) Solution 23
https://biharboardbook.com
Bihar Board Class 10th Maths (गणित) Chapter 9 (वृत्त त्रिकोणमिति के कुछ अनुप्रयोग) Solution 24
https://biharboardbook.com
Bihar Board Class 10th Maths (गणित) Chapter 9 (वृत्त त्रिकोणमिति के कुछ अनुप्रयोग) Solution 25
https://biharboardbook.com
Bihar Board Class 10th Maths (गणित) Chapter 9 (वृत्त त्रिकोणमिति के कुछ अनुप्रयोग) Solution 26
https://biharboardbook.com
Bihar Board Class 10th Maths (गणित) Chapter 9 (वृत्त त्रिकोणमिति के कुछ अनुप्रयोग) Solution 27
https://biharboardbook.com
Bihar Board Class 10th Maths (गणित) Chapter 9 (वृत्त त्रिकोणमिति के कुछ अनुप्रयोग) Solution 28
https://biharboardbook.com
Bihar Board Class 10th Maths (गणित) Chapter 9 (वृत्त त्रिकोणमिति के कुछ अनुप्रयोग) Solution 29
https://biharboardbook.com

Our Bihar Board Class 10th Maths (गणित) Chapter 9 (वृत्त त्रिकोणमिति के कुछ अनुप्रयोग) Solutions section provides clear, step-by-step answers for textbook questions in the Chapter 9 (वृत्त त्रिकोणमिति के कुछ अनुप्रयोग) chapter. These solutions help students understand concepts better and learn the correct way to write answers in exams.

Prepared in simple language and exam-oriented format, the solutions cover all topics in the Chapter 9 (वृत्त त्रिकोणमिति के कुछ अनुप्रयोग) chapter. Whether you are revising at home or checking your practice work, Bihar Board Solutions help you learn accurately and prepare with confidence.

All Bihar Board Class 10th Maths (गणित) Chapter 9 (वृत्त त्रिकोणमिति के कुछ अनुप्रयोग) Solutions available on our platform can be viewed completely free of cost. There's no registration required, no payment needed, and no hidden charges.

Other Chapters of Maths (गणित)

Browse other chapters of Bihar Board Class 10th Maths (गणित) Solutions. Click on any chapter below to view its content.

Continue Your Bihar Board Class 10th Maths (गणित) Exam Preparation

Continue your exam preparation by exploring other chapters and resources. Combine these solutions with our other resources like Bihar Board Books, Previous Year Papers, and Revision Notes for a complete and effective preparation strategy.

If you have any questions or need assistance, feel free to contact us. We're here to help you succeed in your Bihar Board examinations.