Bihar Board Class 10th Maths (गणित) Chapter 13 (पृष्ठीय क्षेत्रफल और आयतन) Solutions

Welcome to Bihar Board Class 10th Maths (गणित) Chapter 13 (पृष्ठीय क्षेत्रफल और आयतन) Solutions at BiharBoardBook. We provide free access to detailed, step-by-step solutions for the Chapter 13 (पृष्ठीय क्षेत्रफल और आयतन) chapter of Maths (गणित) subject, prescribed by the Bihar School Examination Board (BSEB) for Class 10th students.

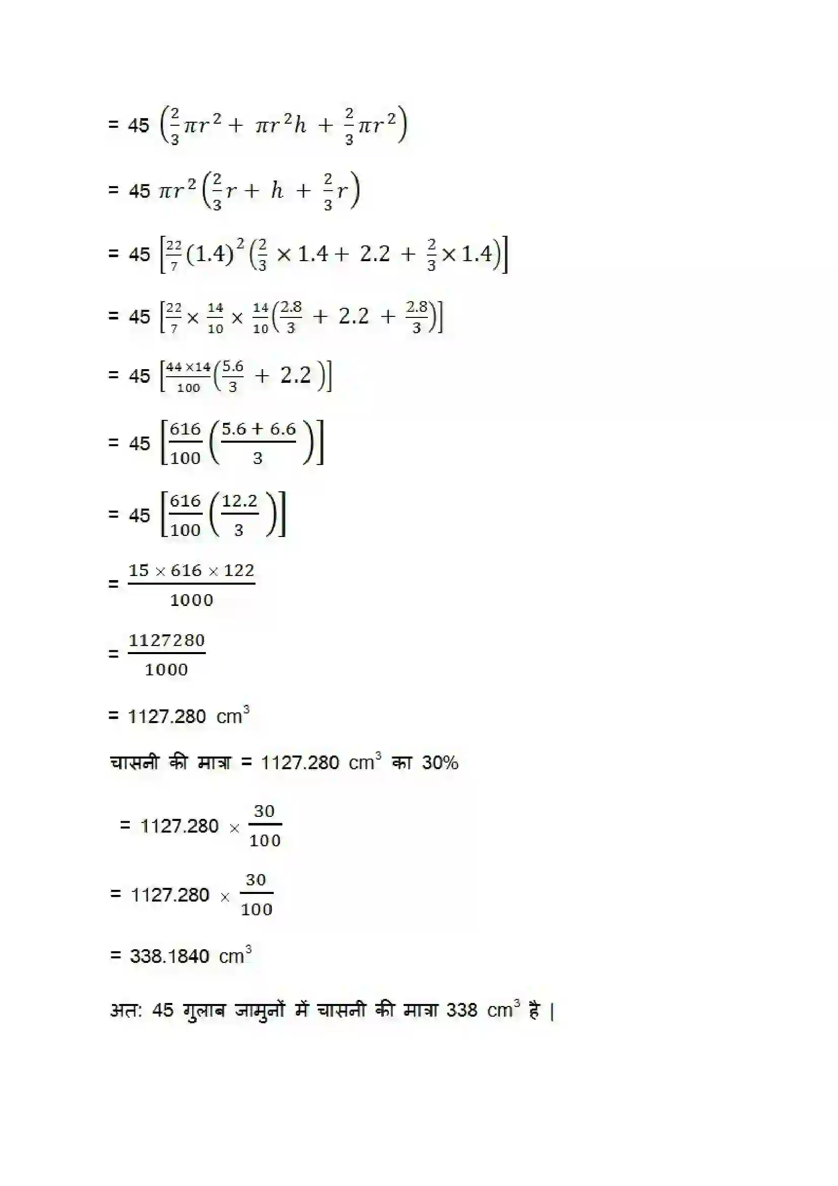
Bihar Board Class 10th Maths (गणित) Chapter 13 (पृष्ठीय क्षेत्रफल और आयतन) Solutions

View the following solutions for Bihar Board Class 10th Maths (गणित) Chapter 13 (पृष्ठीय क्षेत्रफल और आयतन). These solutions are available for viewing online.

Bihar Board Class 10th Maths (गणित) Chapter 13 (पृष्ठीय क्षेत्रफल और आयतन) Solution 1
https://biharboardbook.com
Bihar Board Class 10th Maths (गणित) Chapter 13 (पृष्ठीय क्षेत्रफल और आयतन) Solution 2
https://biharboardbook.com
Bihar Board Class 10th Maths (गणित) Chapter 13 (पृष्ठीय क्षेत्रफल और आयतन) Solution 3
https://biharboardbook.com
Bihar Board Class 10th Maths (गणित) Chapter 13 (पृष्ठीय क्षेत्रफल और आयतन) Solution 4
https://biharboardbook.com
Bihar Board Class 10th Maths (गणित) Chapter 13 (पृष्ठीय क्षेत्रफल और आयतन) Solution 5
https://biharboardbook.com
Bihar Board Class 10th Maths (गणित) Chapter 13 (पृष्ठीय क्षेत्रफल और आयतन) Solution 6
https://biharboardbook.com
Bihar Board Class 10th Maths (गणित) Chapter 13 (पृष्ठीय क्षेत्रफल और आयतन) Solution 7
https://biharboardbook.com
Bihar Board Class 10th Maths (गणित) Chapter 13 (पृष्ठीय क्षेत्रफल और आयतन) Solution 8
https://biharboardbook.com
Bihar Board Class 10th Maths (गणित) Chapter 13 (पृष्ठीय क्षेत्रफल और आयतन) Solution 9
https://biharboardbook.com
Bihar Board Class 10th Maths (गणित) Chapter 13 (पृष्ठीय क्षेत्रफल और आयतन) Solution 10
https://biharboardbook.com
Bihar Board Class 10th Maths (गणित) Chapter 13 (पृष्ठीय क्षेत्रफल और आयतन) Solution 11
https://biharboardbook.com
Bihar Board Class 10th Maths (गणित) Chapter 13 (पृष्ठीय क्षेत्रफल और आयतन) Solution 12
https://biharboardbook.com
Bihar Board Class 10th Maths (गणित) Chapter 13 (पृष्ठीय क्षेत्रफल और आयतन) Solution 13
https://biharboardbook.com
Bihar Board Class 10th Maths (गणित) Chapter 13 (पृष्ठीय क्षेत्रफल और आयतन) Solution 14
https://biharboardbook.com
Bihar Board Class 10th Maths (गणित) Chapter 13 (पृष्ठीय क्षेत्रफल और आयतन) Solution 15
https://biharboardbook.com
Bihar Board Class 10th Maths (गणित) Chapter 13 (पृष्ठीय क्षेत्रफल और आयतन) Solution 16
https://biharboardbook.com
Bihar Board Class 10th Maths (गणित) Chapter 13 (पृष्ठीय क्षेत्रफल और आयतन) Solution 17
https://biharboardbook.com
Bihar Board Class 10th Maths (गणित) Chapter 13 (पृष्ठीय क्षेत्रफल और आयतन) Solution 18
https://biharboardbook.com
Bihar Board Class 10th Maths (गणित) Chapter 13 (पृष्ठीय क्षेत्रफल और आयतन) Solution 19
https://biharboardbook.com
Bihar Board Class 10th Maths (गणित) Chapter 13 (पृष्ठीय क्षेत्रफल और आयतन) Solution 20
https://biharboardbook.com
Bihar Board Class 10th Maths (गणित) Chapter 13 (पृष्ठीय क्षेत्रफल और आयतन) Solution 21
https://biharboardbook.com
Bihar Board Class 10th Maths (गणित) Chapter 13 (पृष्ठीय क्षेत्रफल और आयतन) Solution 22
https://biharboardbook.com
Bihar Board Class 10th Maths (गणित) Chapter 13 (पृष्ठीय क्षेत्रफल और आयतन) Solution 23
https://biharboardbook.com
Bihar Board Class 10th Maths (गणित) Chapter 13 (पृष्ठीय क्षेत्रफल और आयतन) Solution 24
https://biharboardbook.com
Bihar Board Class 10th Maths (गणित) Chapter 13 (पृष्ठीय क्षेत्रफल और आयतन) Solution 25
https://biharboardbook.com
Bihar Board Class 10th Maths (गणित) Chapter 13 (पृष्ठीय क्षेत्रफल और आयतन) Solution 26
https://biharboardbook.com

Our Bihar Board Class 10th Maths (गणित) Chapter 13 (पृष्ठीय क्षेत्रफल और आयतन) Solutions section provides clear, step-by-step answers for textbook questions in the Chapter 13 (पृष्ठीय क्षेत्रफल और आयतन) chapter. These solutions help students understand concepts better and learn the correct way to write answers in exams.

Prepared in simple language and exam-oriented format, the solutions cover all topics in the Chapter 13 (पृष्ठीय क्षेत्रफल और आयतन) chapter. Whether you are revising at home or checking your practice work, Bihar Board Solutions help you learn accurately and prepare with confidence.

All Bihar Board Class 10th Maths (गणित) Chapter 13 (पृष्ठीय क्षेत्रफल और आयतन) Solutions available on our platform can be viewed completely free of cost. There's no registration required, no payment needed, and no hidden charges.

Other Chapters of Maths (गणित)

Browse other chapters of Bihar Board Class 10th Maths (गणित) Solutions. Click on any chapter below to view its content.

Continue Your Bihar Board Class 10th Maths (गणित) Exam Preparation

Continue your exam preparation by exploring other chapters and resources. Combine these solutions with our other resources like Bihar Board Books, Previous Year Papers, and Revision Notes for a complete and effective preparation strategy.

If you have any questions or need assistance, feel free to contact us. We're here to help you succeed in your Bihar Board examinations.