Bihar Board Class 11th Maths (गणित) Chapter 9 (अनुक्रम तथा श्रेणी) Solutions

Here we have provided Solution for Chapter 9 (अनुक्रम तथा श्रेणी) of Maths (गणित) subject for Class 11th students of Bihar Board of Secondary Education. There are various chapters in this Maths (गणित) such as Chapter 1 (सम्मुचय), Chapter 2 (सम्बन्ध एवं फलन), Chapter 3 (त्रिकोणमितिय फलन), Chapter 4 (गणितीय आगमन का सिद्धांत), Chapter 5 (सम्मिश्र संख्याएं और द्विघातीय समीकरण), Chapter 6 (रैखिक असमिकाएं), Chapter 7 (क्रमचय एवं संचय), Chapter 8 (द्विपद प्रमेय), Chapter 9 (अनुक्रम तथा श्रेणी), Chapter 10 (सरल रेखाएं), Chapter 11 (शांकव परिच्छेदन), Chapter 12 (त्रिविमीय ज्यामिति का परिचय), Chapter 13 (सीमा और अवकलज), Chapter 14 (गणितीय विवेचन), Chapter 15 (सांख्यिकी) and Chapter 16 (प्रायिकता). Summary of the same is given below:

Board NameBihar Board of Secondary Education
ClassClass 11th
Content TypeSolution
Solution forClass 11th students
SubjectMaths (गणित)
Chapter NameChapter 9 (अनुक्रम तथा श्रेणी)
Total Number of Chapter in this Subject16

Studying Bihar Board Class 11th Maths (गणित) Chapter 9 (अनुक्रम तथा श्रेणी) solution will help you higher marks in this subject but you need to follow best practices to achieve higher marks, which are given after solutions, go through them once.

Bihar Board Class 11th Maths (गणित) Chapter 9 (अनुक्रम तथा श्रेणी) Solutions

View the following solutions for Bihar Board Class 11th Maths (गणित) Chapter 9 (अनुक्रम तथा श्रेणी). These solutions are available for viewing online.

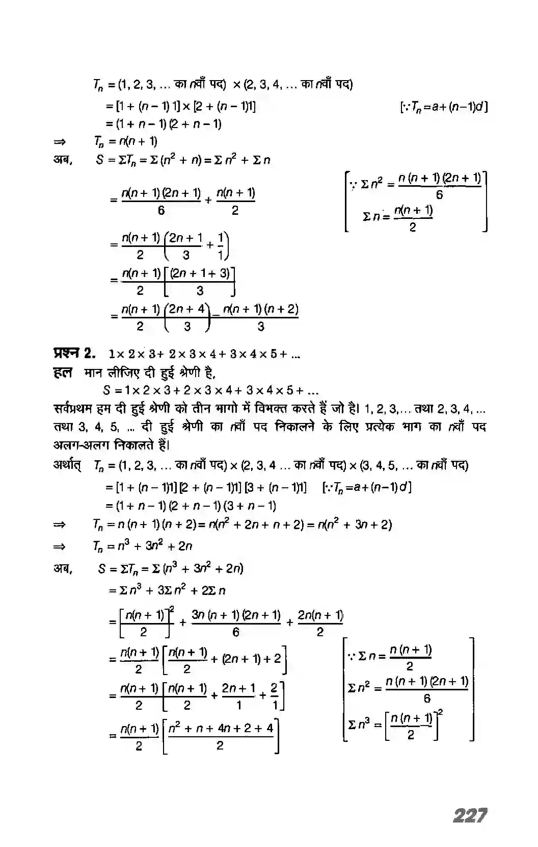
Bihar Board Class 11th Maths (गणित) Chapter 9 (अनुक्रम तथा श्रेणी) Solution 1
https://biharboardbook.com
Bihar Board Class 11th Maths (गणित) Chapter 9 (अनुक्रम तथा श्रेणी) Solution 2
https://biharboardbook.com
Bihar Board Class 11th Maths (गणित) Chapter 9 (अनुक्रम तथा श्रेणी) Solution 3
https://biharboardbook.com
Bihar Board Class 11th Maths (गणित) Chapter 9 (अनुक्रम तथा श्रेणी) Solution 4
https://biharboardbook.com
Bihar Board Class 11th Maths (गणित) Chapter 9 (अनुक्रम तथा श्रेणी) Solution 5
https://biharboardbook.com
Bihar Board Class 11th Maths (गणित) Chapter 9 (अनुक्रम तथा श्रेणी) Solution 6
https://biharboardbook.com
Bihar Board Class 11th Maths (गणित) Chapter 9 (अनुक्रम तथा श्रेणी) Solution 7
https://biharboardbook.com
Bihar Board Class 11th Maths (गणित) Chapter 9 (अनुक्रम तथा श्रेणी) Solution 8
https://biharboardbook.com
Bihar Board Class 11th Maths (गणित) Chapter 9 (अनुक्रम तथा श्रेणी) Solution 9
https://biharboardbook.com
Bihar Board Class 11th Maths (गणित) Chapter 9 (अनुक्रम तथा श्रेणी) Solution 10
https://biharboardbook.com
Bihar Board Class 11th Maths (गणित) Chapter 9 (अनुक्रम तथा श्रेणी) Solution 11
https://biharboardbook.com
Bihar Board Class 11th Maths (गणित) Chapter 9 (अनुक्रम तथा श्रेणी) Solution 12
https://biharboardbook.com
Bihar Board Class 11th Maths (गणित) Chapter 9 (अनुक्रम तथा श्रेणी) Solution 13
https://biharboardbook.com
Bihar Board Class 11th Maths (गणित) Chapter 9 (अनुक्रम तथा श्रेणी) Solution 14
https://biharboardbook.com
Bihar Board Class 11th Maths (गणित) Chapter 9 (अनुक्रम तथा श्रेणी) Solution 15
https://biharboardbook.com
Bihar Board Class 11th Maths (गणित) Chapter 9 (अनुक्रम तथा श्रेणी) Solution 16
https://biharboardbook.com
Bihar Board Class 11th Maths (गणित) Chapter 9 (अनुक्रम तथा श्रेणी) Solution 17
https://biharboardbook.com
Bihar Board Class 11th Maths (गणित) Chapter 9 (अनुक्रम तथा श्रेणी) Solution 18
https://biharboardbook.com
Bihar Board Class 11th Maths (गणित) Chapter 9 (अनुक्रम तथा श्रेणी) Solution 19
https://biharboardbook.com
Bihar Board Class 11th Maths (गणित) Chapter 9 (अनुक्रम तथा श्रेणी) Solution 20
https://biharboardbook.com
Bihar Board Class 11th Maths (गणित) Chapter 9 (अनुक्रम तथा श्रेणी) Solution 21
https://biharboardbook.com
Bihar Board Class 11th Maths (गणित) Chapter 9 (अनुक्रम तथा श्रेणी) Solution 22
https://biharboardbook.com
Bihar Board Class 11th Maths (गणित) Chapter 9 (अनुक्रम तथा श्रेणी) Solution 23
https://biharboardbook.com
Bihar Board Class 11th Maths (गणित) Chapter 9 (अनुक्रम तथा श्रेणी) Solution 24
https://biharboardbook.com
Bihar Board Class 11th Maths (गणित) Chapter 9 (अनुक्रम तथा श्रेणी) Solution 25
https://biharboardbook.com
Bihar Board Class 11th Maths (गणित) Chapter 9 (अनुक्रम तथा श्रेणी) Solution 26
https://biharboardbook.com
Bihar Board Class 11th Maths (गणित) Chapter 9 (अनुक्रम तथा श्रेणी) Solution 27
https://biharboardbook.com
Bihar Board Class 11th Maths (गणित) Chapter 9 (अनुक्रम तथा श्रेणी) Solution 28
https://biharboardbook.com
Bihar Board Class 11th Maths (गणित) Chapter 9 (अनुक्रम तथा श्रेणी) Solution 29
https://biharboardbook.com
Bihar Board Class 11th Maths (गणित) Chapter 9 (अनुक्रम तथा श्रेणी) Solution 30
https://biharboardbook.com
Bihar Board Class 11th Maths (गणित) Chapter 9 (अनुक्रम तथा श्रेणी) Solution 31
https://biharboardbook.com
Bihar Board Class 11th Maths (गणित) Chapter 9 (अनुक्रम तथा श्रेणी) Solution 32
https://biharboardbook.com
Bihar Board Class 11th Maths (गणित) Chapter 9 (अनुक्रम तथा श्रेणी) Solution 33
https://biharboardbook.com
Bihar Board Class 11th Maths (गणित) Chapter 9 (अनुक्रम तथा श्रेणी) Solution 34
https://biharboardbook.com
Bihar Board Class 11th Maths (गणित) Chapter 9 (अनुक्रम तथा श्रेणी) Solution 35
https://biharboardbook.com
Bihar Board Class 11th Maths (गणित) Chapter 9 (अनुक्रम तथा श्रेणी) Solution 36
https://biharboardbook.com
Bihar Board Class 11th Maths (गणित) Chapter 9 (अनुक्रम तथा श्रेणी) Solution 37
https://biharboardbook.com
Bihar Board Class 11th Maths (गणित) Chapter 9 (अनुक्रम तथा श्रेणी) Solution 38
https://biharboardbook.com
Bihar Board Class 11th Maths (गणित) Chapter 9 (अनुक्रम तथा श्रेणी) Solution 39
https://biharboardbook.com
Bihar Board Class 11th Maths (गणित) Chapter 9 (अनुक्रम तथा श्रेणी) Solution 40
https://biharboardbook.com
Bihar Board Class 11th Maths (गणित) Chapter 9 (अनुक्रम तथा श्रेणी) Solution 41
https://biharboardbook.com
Bihar Board Class 11th Maths (गणित) Chapter 9 (अनुक्रम तथा श्रेणी) Solution 42
https://biharboardbook.com
Bihar Board Class 11th Maths (गणित) Chapter 9 (अनुक्रम तथा श्रेणी) Solution 43
https://biharboardbook.com
Bihar Board Class 11th Maths (गणित) Chapter 9 (अनुक्रम तथा श्रेणी) Solution 44
https://biharboardbook.com
Bihar Board Class 11th Maths (गणित) Chapter 9 (अनुक्रम तथा श्रेणी) Solution 45
https://biharboardbook.com
Bihar Board Class 11th Maths (गणित) Chapter 9 (अनुक्रम तथा श्रेणी) Solution 46
https://biharboardbook.com
Bihar Board Class 11th Maths (गणित) Chapter 9 (अनुक्रम तथा श्रेणी) Solution 47
https://biharboardbook.com
Bihar Board Class 11th Maths (गणित) Chapter 9 (अनुक्रम तथा श्रेणी) Solution 48
https://biharboardbook.com
Bihar Board Class 11th Maths (गणित) Chapter 9 (अनुक्रम तथा श्रेणी) Solution 49
https://biharboardbook.com
Bihar Board Class 11th Maths (गणित) Chapter 9 (अनुक्रम तथा श्रेणी) Solution 50
https://biharboardbook.com
Bihar Board Class 11th Maths (गणित) Chapter 9 (अनुक्रम तथा श्रेणी) Solution 51
https://biharboardbook.com
Bihar Board Class 11th Maths (गणित) Chapter 9 (अनुक्रम तथा श्रेणी) Solution 52
https://biharboardbook.com
Bihar Board Class 11th Maths (गणित) Chapter 9 (अनुक्रम तथा श्रेणी) Solution 53
https://biharboardbook.com
Bihar Board Class 11th Maths (गणित) Chapter 9 (अनुक्रम तथा श्रेणी) Solution 54
https://biharboardbook.com
Bihar Board Class 11th Maths (गणित) Chapter 9 (अनुक्रम तथा श्रेणी) Solution 55
https://biharboardbook.com
Bihar Board Class 11th Maths (गणित) Chapter 9 (अनुक्रम तथा श्रेणी) Solution 56
https://biharboardbook.com
Bihar Board Class 11th Maths (गणित) Chapter 9 (अनुक्रम तथा श्रेणी) Solution 57
https://biharboardbook.com
Bihar Board Class 11th Maths (गणित) Chapter 9 (अनुक्रम तथा श्रेणी) Solution 58
https://biharboardbook.com
Bihar Board Class 11th Maths (गणित) Chapter 9 (अनुक्रम तथा श्रेणी) Solution 59
https://biharboardbook.com
Bihar Board Class 11th Maths (गणित) Chapter 9 (अनुक्रम तथा श्रेणी) Solution 60
https://biharboardbook.com
Bihar Board Class 11th Maths (गणित) Chapter 9 (अनुक्रम तथा श्रेणी) Solution 61
https://biharboardbook.com
Bihar Board Class 11th Maths (गणित) Chapter 9 (अनुक्रम तथा श्रेणी) Solution 62
https://biharboardbook.com

All Bihar Board Class 11th Maths (गणित) Chapter 9 (अनुक्रम तथा श्रेणी) Solutions on this page can be viewed free of cost. Follow the best practices given after the solutions to achieve higher marks.

How to achieve higher marks in Bihar Board Class 11th Maths (गणित):

How to download Bihar Board Class 11th Maths (गणित) Chapter 9 (अनुक्रम तथा श्रेणी) Solutions

  1. Visit https://biharboardbook.com
  2. Home page of Bihar Board Book will be loaded. Here select Solutions from the navigation bar at top.
  3. List of classes for which solution is available for Bihar Board students will be loaded. Now select the class which is relevant for you – in this case we will select Class 11th from this list.
  4. List of subjects for which solution is available for Bihar Board Class 11th students will display here. Now select the subject for which you want to download the solution – here we will select Maths (गणित) (you can choose any subject which is relevant for you).
  5. List of chapters will start displaying here for Maths (गणित) for Class 11th students of Bihar Board. Now select the chapter for which you want the solution. We will select Chapter 9 (अनुक्रम तथा श्रेणी) in this case; you can opt based on your requirements.
  6. Solution for Class 11th Maths (गणित) of Bihar Board for Chapter 9 (अनुक्रम तथा श्रेणी) will load here. If you are on desktop, right-click and save the image (all solutions here are given as images). If you are on mobile, long-press the image to save it. This will download the solution.

Other Chapters of Maths (गणित)

Browse other chapters of Bihar Board Class 11th Maths (गणित) Solutions. Click on any chapter below to view its content.