Bihar Board Class 10th 2022 Advanced Maths Sample Papers

Here we have provided Sample Papers for Advanced Maths of 2022 for Class 10th students of Bihar Board of Secondary Education. There are various subjects in this year such as Maths, Advanced Maths, Science, Social Science, Economics, Home Science, Fine Art, Dance, English, Hindi (Sil), Sanskrit (Sil), Maithili (Mt) and Maithili (Opt.). Summary of the same is given below:

Board NameBihar Board of Secondary Education
ClassClass 10th
Content TypeSample Papers
Sample Papers forClass 10th students
Year2022
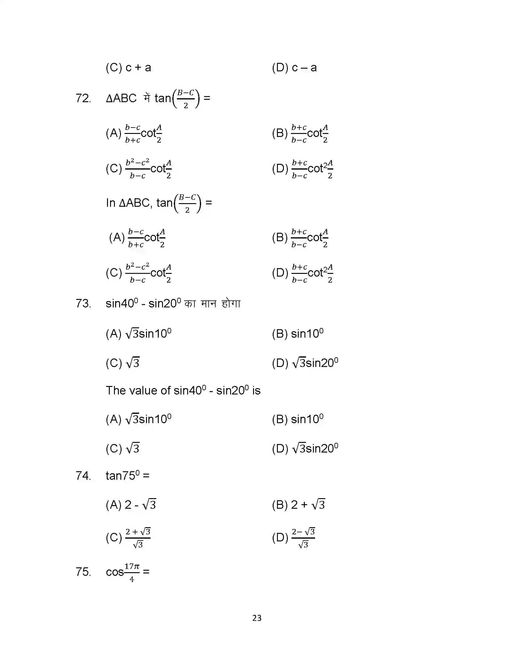
Subject NameAdvanced Maths
Total Number of Subject in this Year13

Studying Bihar Board Class 10th 2022 Advanced Maths sample papers will help you higher marks in this subject but you need to follow best practices to achieve higher marks, which are given after the content, go through them once.

Bihar Board Class 10th 2022 Advanced Maths Sample Papers

View the following sample papers for Bihar Board Class 10th 2022 Advanced Maths. These papers are available for viewing online.

Bihar Board Class 10th 2022 Advanced Maths Sample Paper 1
https://biharboardbook.com
Bihar Board Class 10th 2022 Advanced Maths Sample Paper 2
https://biharboardbook.com
Bihar Board Class 10th 2022 Advanced Maths Sample Paper 3
https://biharboardbook.com
Bihar Board Class 10th 2022 Advanced Maths Sample Paper 4
https://biharboardbook.com
Bihar Board Class 10th 2022 Advanced Maths Sample Paper 5
https://biharboardbook.com
Bihar Board Class 10th 2022 Advanced Maths Sample Paper 6
https://biharboardbook.com
Bihar Board Class 10th 2022 Advanced Maths Sample Paper 7
https://biharboardbook.com
Bihar Board Class 10th 2022 Advanced Maths Sample Paper 8
https://biharboardbook.com
Bihar Board Class 10th 2022 Advanced Maths Sample Paper 9
https://biharboardbook.com
Bihar Board Class 10th 2022 Advanced Maths Sample Paper 10
https://biharboardbook.com
Bihar Board Class 10th 2022 Advanced Maths Sample Paper 11
https://biharboardbook.com
Bihar Board Class 10th 2022 Advanced Maths Sample Paper 12
https://biharboardbook.com
Bihar Board Class 10th 2022 Advanced Maths Sample Paper 13
https://biharboardbook.com
Bihar Board Class 10th 2022 Advanced Maths Sample Paper 14
https://biharboardbook.com
Bihar Board Class 10th 2022 Advanced Maths Sample Paper 15
https://biharboardbook.com
Bihar Board Class 10th 2022 Advanced Maths Sample Paper 16
https://biharboardbook.com
Bihar Board Class 10th 2022 Advanced Maths Sample Paper 17
https://biharboardbook.com
Bihar Board Class 10th 2022 Advanced Maths Sample Paper 18
https://biharboardbook.com
Bihar Board Class 10th 2022 Advanced Maths Sample Paper 19
https://biharboardbook.com
Bihar Board Class 10th 2022 Advanced Maths Sample Paper 20
https://biharboardbook.com
Bihar Board Class 10th 2022 Advanced Maths Sample Paper 21
https://biharboardbook.com
Bihar Board Class 10th 2022 Advanced Maths Sample Paper 22
https://biharboardbook.com
Bihar Board Class 10th 2022 Advanced Maths Sample Paper 23
https://biharboardbook.com
Bihar Board Class 10th 2022 Advanced Maths Sample Paper 24
https://biharboardbook.com
Bihar Board Class 10th 2022 Advanced Maths Sample Paper 25
https://biharboardbook.com
Bihar Board Class 10th 2022 Advanced Maths Sample Paper 26
https://biharboardbook.com
Bihar Board Class 10th 2022 Advanced Maths Sample Paper 27
https://biharboardbook.com
Bihar Board Class 10th 2022 Advanced Maths Sample Paper 28
https://biharboardbook.com
Bihar Board Class 10th 2022 Advanced Maths Sample Paper 29
https://biharboardbook.com
Bihar Board Class 10th 2022 Advanced Maths Sample Paper 30
https://biharboardbook.com
Bihar Board Class 10th 2022 Advanced Maths Sample Paper 31
https://biharboardbook.com
Bihar Board Class 10th 2022 Advanced Maths Sample Paper 32
https://biharboardbook.com
Bihar Board Class 10th 2022 Advanced Maths Sample Paper 33
https://biharboardbook.com
Bihar Board Class 10th 2022 Advanced Maths Sample Paper 34
https://biharboardbook.com
Bihar Board Class 10th 2022 Advanced Maths Sample Paper 35
https://biharboardbook.com
Bihar Board Class 10th 2022 Advanced Maths Sample Paper 36
https://biharboardbook.com
Bihar Board Class 10th 2022 Advanced Maths Sample Paper 37
https://biharboardbook.com
Bihar Board Class 10th 2022 Advanced Maths Sample Paper 38
https://biharboardbook.com

All Bihar Board Class 10th 2022 Advanced Maths Sample Papers on this page can be viewed free of cost. Follow the best practices given after the content to achieve higher marks.

How to achieve higher marks in Bihar Board Class 10th 2022:

How to download Bihar Board Class 10th 2022 Advanced Maths Sample Papers

  1. Visit https://biharboardbook.com
  2. Home page of Bihar Board Book will be loaded. Here select Sample Papers from the navigation bar at top.
  3. List of classes will be loaded. Now select the class which is relevant for you – in this case we will select Class 10th from this list.
  4. List of years will display here. Now select the year – here we will select 2022 (you can choose any year which is relevant for you).
  5. List of subjects will start displaying here for 2022 for Class 10th students of Bihar Board. Now select the subject. We will select Advanced Maths in this case; you can opt based on your requirements.
  6. Sample Papers for Class 10th 2022 of Bihar Board for Advanced Maths will load here. If you are on desktop, right-click and save the image. If you are on mobile, long-press the image to save it. This will download the content.

Other Subjects of 2022

Browse other subjects of Bihar Board Class 10th 2022 Sample Papers. Click on any subject below to view its content.