Bihar Board Class 12th 2017 Chemistry 2017 Previous Year Papers

Welcome to Bihar Board Class 12th 2017 Chemistry 2017 Previous Year Question Papers at BiharBoardBook. We provide free access to real exam papers from 2017 for Chemistry 2017 subject, helping students understand the actual Bihar School Examination Board (BSEB) exam pattern.

Bihar Board Class 12th 2017 Chemistry 2017 Previous Year Papers

View the following previous year papers for Bihar Board Class 12th 2017 Chemistry 2017. These papers are available for viewing online.

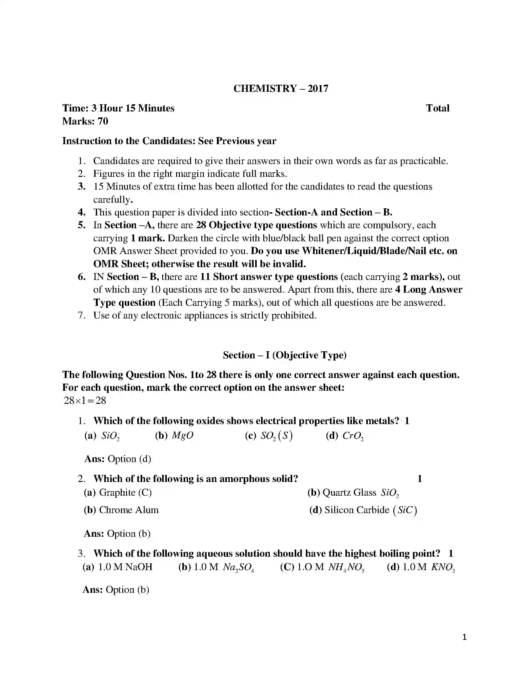
Bihar Board Class 12th 2017 Chemistry  2017 Previous Year Paper 1
https://biharboardbook.com
Bihar Board Class 12th 2017 Chemistry  2017 Previous Year Paper 2
https://biharboardbook.com
Bihar Board Class 12th 2017 Chemistry  2017 Previous Year Paper 3
https://biharboardbook.com
Bihar Board Class 12th 2017 Chemistry  2017 Previous Year Paper 4
https://biharboardbook.com
Bihar Board Class 12th 2017 Chemistry  2017 Previous Year Paper 5
https://biharboardbook.com
Bihar Board Class 12th 2017 Chemistry  2017 Previous Year Paper 6
https://biharboardbook.com
Bihar Board Class 12th 2017 Chemistry  2017 Previous Year Paper 7
https://biharboardbook.com
Bihar Board Class 12th 2017 Chemistry  2017 Previous Year Paper 8
https://biharboardbook.com
Bihar Board Class 12th 2017 Chemistry  2017 Previous Year Paper 9
https://biharboardbook.com
Bihar Board Class 12th 2017 Chemistry  2017 Previous Year Paper 10
https://biharboardbook.com
Bihar Board Class 12th 2017 Chemistry  2017 Previous Year Paper 11
https://biharboardbook.com
Bihar Board Class 12th 2017 Chemistry  2017 Previous Year Paper 12
https://biharboardbook.com
Bihar Board Class 12th 2017 Chemistry  2017 Previous Year Paper 13
https://biharboardbook.com

Our Bihar Board Class 12th 2017 Chemistry 2017 Previous Year Question Papers section gives students access to real exam papers from 2017 for Chemistry 2017 subject. Practicing these papers allows students to identify important topics, recurring questions, and the level of difficulty expected in the exam.

These question papers support effective revision, improve time management, and build exam confidence. All materials are available for viewing completely free of cost.

Other Subjects of 2017

Browse other subjects of Bihar Board Class 12th 2017 Previous Year Papers. Click on any subject below to view its content.

Continue Your Bihar Board Class 12th Exam Preparation

Continue your exam preparation by exploring other resources. Combine these papers with our other resources like Bihar Board Books, Solutions, and Revision Notes for a complete and effective preparation strategy.

If you have any questions or need assistance, feel free to contact us. We're here to help you succeed in your Bihar Board examinations.